-
MS-NW-9238 cytidine C9H13N3O5 (Mass of molecular ion: 243)
Source Temperature: 200 °C Sample Temperature: 200 °C Direct, 75 eV
15.0 1.8 16.0 1.1 17.0 2.8 18.0 12.4 19.0 2.2 27.0 2.9 28.0 9.0 29.0 5.4 30.0 1.8 31.0 5.7 39.0 1.7 40.0 3.4 41.0 6.2 42.0 9.1 43.0 9.2 44.0 7.3 45.0 4.1 52.0 2.5 53.0 1.1 54.0 2.1 55.0 4.6 56.0 3.5 57.0 10.0 58.0 1.6 60.0 3.5 61.0 3.1 66.0 1.2 67.0 5.0 68.0 9.5 69.0 14.6 70.0 4.5 71.0 3.7 72.0 1.3 73.0 8.7 74.0 1.9 79.0 1.6 81.0 1.7 82.0 1.0 83.0 4.9 84.0 2.5 85.0 3.1 86.0 1.4 94.0 5.8 95.0 9.7 96.0 4.3 97.0 2.5 109.0 1.3 110.0 2.0 111.0 29.1 112.0 100.0 113.0 6.9 114.0 1.7 122.0 1.5 123.0 1.1 124.0 1.2 125.0 1.2 126.0 1.3 133.0 1.1 135.0 1.0 136.0 1.6 138.0 1.1 140.0 42.5 141.0 3.3 151.0 26.9 152.0 2.7 154.0 6.1 170.0 8.2 178.0 2.0 244.0 1.2
400 MHz in D2O
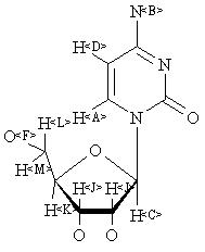
400 MHz in DMSO-d6
-
1H NMR 399.65 MHz C9 H13 N3 O5 0.037 g : 0.5 ml D2O cytidine 
Assign. Shift(ppm)
A 7.848 B 6.038 C 5.908 D 4.317 E 4.224 F 4.150 G *1 3.954 J *1 3.840 THE SOLVENT PEAK SUPPRESSED. J(A,B)=7.6 HZ J(A,C)=4.0 HZ J(C,D)=5.2 HZ J(D,E)=5.1 HZ J(E,F)=5.1 HZ
Hz ppm Int.3140.26 7.858 977 3132.69 7.839 1000 2416.02 6.046 448 2408.45 6.027 432 2363.16 5.914 847 2359.25 5.904 853 1730.22 4.330 429 1726.20 4.320 485 1724.98 4.317 660 1720.95 4.307 551 1694.09 4.239 459 1688.11 4.224 767 1682.74 4.211 516 1664.92 4.166 258 1662.11 4.159 335 1660.64 4.156 401 1657.84 4.149 378 1656.13 4.144 300 1654.54 4.140 277 1651.73 4.133 209 1589.72 3.978 339 1586.91 3.971 348 1576.90 3.946 572 1574.10 3.939 544 1541.99 3.859 548 1537.60 3.848 525 1529.30 3.827 356 1524.90 3.816 328
-
1H NMR 399.65 MHz C9 H13 N3 O5 0.038 g : 0.5 ml DMSO-d6 cytidine 
Assign. Shift(ppm)
A 7.866 B 7.24 C 5.787 D 5.751 E 5.340 F 5.09 G 5.05 J 3.95 K 3.834 L *1 3.662 M *1 3.559 J(C,J)=3.8 HZ. J(A,D)=7.4 HZ.
Hz ppm Int.3147.71 7.877 947 3140.26 7.858 1000 2895.02 7.244 451 2314.94 5.793 850 2311.16 5.783 883 2302.25 5.761 840 2294.80 5.743 837 2136.60 5.347 499 2132.20 5.336 520 2037.72 5.099 358 2032.59 5.086 758 2027.34 5.073 390 2019.04 5.053 498 2014.89 5.042 530 1585.69 3.968 474 1579.71 3.953 880 1574.83 3.941 482 1537.60 3.848 240 1534.42 3.840 529 1530.27 3.830 487 1526.98 3.821 216 1471.80 3.683 193 1470.09 3.679 210 1466.80 3.671 195 1462.89 3.661 307 1459.84 3.653 314 1457.89 3.648 329 1454.83 3.641 246 1431.40 3.582 249 1427.73 3.573 317 1426.39 3.570 331 1422.73 3.560 283 1419.43 3.552 207 1415.89 3.543 197 1414.18 3.539 206
更多供应商








