图谱信息 供应商 相关产品
网站主页CAS数据库列表 65-49-6更多图谱4-氨基水杨酸(65-49-6)核磁图(1HNMR)

4-氨基水杨酸

产品名称 4-氨基水杨酸

CAS号65-49-6

分子式C7H7NO3

分子量153.14

展开


  • Mass

    MS-NW-0199          
    4-aminosalicylic acid
    C7H7NO3             (Mass of molecular ion:    153)
    

       Source Temperature: 200 °C
       Sample Temperature:   0 °C
       Direct, 75 eV
    

          26.0       1.2
          27.0       4.7
          28.0       7.4
          29.0       1.9
          37.0       2.6
          38.0       5.5
          38.5       1.5
          39.0       9.3
          39.5       3.9
          40.0       4.3
          41.0       6.1
          42.0       2.1
          44.0       5.1
          45.0       3.0
          49.0       1.2
          50.0       5.5
          51.0      12.7
          52.0      24.4
          53.0      12.9
          53.5      11.4
          54.0       4.8
          55.0       2.1
          61.0       1.8
          62.0       3.9
          62.5       4.3
          63.0       6.3
          64.0       2.4
          65.0       2.5
          66.0       2.5
          67.0       1.1
          67.5       1.0
          68.0       8.6
          76.0       1.6
          77.0       1.6
          78.0      10.6
          79.0      74.2
          80.0      21.9
          81.0       5.1
          82.0       1.1
          96.0       1.3
         106.0       5.0
         107.0      57.5
         108.0       7.3
         109.0      15.4
         110.0       1.2
         124.0       2.2
         134.0       1.1
         135.0     100.0
         136.0      16.7
         137.0       1.3
         152.0       1.4
         153.0      82.0
         154.0       7.4
    

90 MHz in DMSO-d6

400 MHz in DMSO-d6


  • 1H NMR 89.56 MHz
    C7 H7 N O3 0.041 g : 0.5 ml DMSO-d6
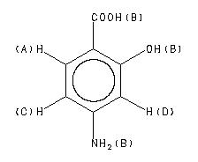
    4-aminosalicylic acid
    ChemicalStructure
        Assign.     Shift(ppm)
    A 7.454 B 6.5 C 6.12 D 6.01 J(A,C)=8.6HZ. J(B,C)=2.1HZ.

         Hz     ppm     Int.
    

        672.17   7.506    570
        663.57   7.410    638
        583.59   6.517     95
        553.13   6.177    375
        550.98   6.153    478
        544.63   6.082    280
        542.48   6.058    550
        538.96   6.018   1000
        536.82   5.994    622
        531.74   5.938    139
    


  • 1H NMR 399.65 MHz
    C7 H7 N O3 0.039 g : 0.5 ml DMSO-d6
    4-aminosalicylic acid
    ChemicalStructure
        Assign.     Shift(ppm)
    A 7.460 B 6.118 C 6.005

         Hz     ppm     Int.
    

       2985.98   7.472    890
       2977.19   7.450    925
       2450.77   6.133    481
       2448.57   6.127    538
       2441.98   6.111    472
       2439.96   6.106    536
       2400.95   6.008   1000
       2398.93   6.003    962
    

KBr disc



nujol mull





OXIDATION WITH PERBENZOIC ACID