
对十二烷氧基硝基苯
产品名称
对十二烷氧基硝基苯
CAS号65039-18-1
分子式C18H29NO3
分子量307.43
InChIInChI=1S/C18H29NO3/c1-2-3-4-5-6-7-8-9-10-11-16-22-18-14-12-17(13-15-18)19(20)21/h12-15H,2-11,16H2,1H3
InChIKeyVZOAOBWVYOLSII-UHFFFAOYSA-N
SmilesC1(OCCCCCCCCCCCC)=CC=C([N+]([O-])=O)C=C1
展开
收起
-
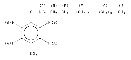
Assign. Shift(ppm)
A 8.192
B 6.940
C 4.045
D 1.819
E 1.47
F 1.37 to 1.28
G 1.27
J 0.880
Spectral Code: 1H NMR : 400 MHz in CDCl3
-
ppm Int. Assign.
164.32 148 1
141.51 59 2
125.89 1000 3
114.47 998 4
69.00 500 5
31.96 466 6
29.68 885 7 *
8 *
29.61 686 9 *
29.57 656 10 *
29.36 770 11 *
12 *
29.05 505 13
25.97 487 14
22.71 469 15
14.09 376 16
Spectral Code: 13C NMR : in CDCl3
-
Spectral Code: IR : nujol mull
对十二烷氧基硝基苯(65039-18-1)红外图谱(IR1) 相关产品图谱