图谱信息 供应商 相关产品
网站主页CAS数据库列表 65079-19-8更多图谱6-氨基-2-甲基喹啉(65079-19-8)核磁图(1HNMR)

6-氨基-2-甲基喹啉

产品名称 6-氨基-2-甲基喹啉

CAS号65079-19-8

分子式C10H10N2

分子量158.2

展开


  • Mass

    MS-NW-9583          
    2-methyl-6-quinolinamine
    C10H10N2            (Mass of molecular ion:    158)
    

       Source Temperature: 170 °C
       Sample Temperature: 100 °C
       Direct, 75 eV
    

          18.0       1.6
          28.0       1.1
          51.0       1.6
          52.0       1.3
          63.0       1.6
          64.5       1.1
          65.0       2.3
          66.0       1.6
          77.0       2.7
          78.0       2.2
          79.0       5.3
          89.0       2.4
         102.0       1.0
         103.0       3.6
         104.0       1.5
         115.0       1.0
         116.0       2.5
         117.0       1.0
         128.0       1.1
         130.0      11.3
         131.0       4.5
         132.0       1.1
         140.0       1.5
         141.0       1.1
         142.0       4.1
         143.0       2.4
         155.0       1.9
         156.0       2.0
         157.0      26.6
         158.0     100.0
         159.0      12.0
    

90 MHz in CDCl3


  • 1H NMR 89.56 MHz
    C10 H10 N2 0.032 g : 0.5 ml CDCl3
    2-methyl-6-quinolinamine
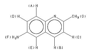
    ChemicalStructure
        Assign.     Shift(ppm)
    A *1 7.82 B *1 7.78 C 7.148 D 7.102 E 6.856 F 3.9 G 2.662

         Hz     ppm     Int.
    

        705.38   7.877    107
        701.25   7.830    101
        696.38   7.776    137
        693.13   7.740    125
        643.81   7.189    187
        641.75   7.166    109
        639.25   7.138    118
        635.44   7.096    140
        632.94   7.068     82
        630.25   7.038    103
        615.13   6.869    153
        612.56   6.840    125
        351.63   3.927     39
        350.25   3.911     40
        349.94   3.908     41
        349.06   3.898     45
        348.75   3.895     43
        348.25   3.889     46
        347.94   3.885     47
        347.19   3.877     47
        346.19   3.866     49
        345.31   3.856     45
        344.50   3.847     45
        343.88   3.840     43
        343.44   3.835     40
        342.75   3.828     38
        342.38   3.823     38
        238.44   2.663   1000
    

in DMSO-d6



KBr disc



nujol mull