图谱信息 供应商 相关产品
网站主页CAS数据库列表 65369-76-8更多图谱1-(3-氯苯基)哌嗪盐酸盐(65369-76-8)核磁图(1HNMR)

1-(3-氯苯基)哌嗪盐酸盐

产品名称 1-(3-氯苯基)哌嗪盐酸盐

CAS号65369-76-8

分子式C10H14Cl2N2

分子量233.14

展开


  • Mass

    MS-NW-8031          
    1-(m-chlorophenyl)piperazine hydrochloride
    C10H13ClN2 HCl      (Mass of molecular ion:    196)
    

       Source Temperature: 200 °C
       Sample Temperature: 130 °C
       Direct, 75 eV
    

          15.0       1.2
          27.0       2.1
          28.0       8.6
          29.0       6.7
          30.0       4.5
          35.0       2.0
          36.0      14.2
          38.0       4.7
          39.0       1.1
          41.0       1.6
          42.0       4.2
          43.0       1.3
          50.0       2.1
          51.0       2.7
          54.0       1.0
          55.0       1.0
          56.0      12.4
          57.0       6.7
          63.0       1.4
          74.0       1.0
          75.0       6.0
          76.0       1.6
          77.0       4.1
          89.0       1.0
          91.0       1.1
          98.0       1.6
         104.0       1.0
         111.0       7.7
         112.0       1.6
         113.0       2.7
         117.0       1.1
         118.0       2.4
         119.0       4.2
         125.0       3.1
         127.0       1.3
         138.0       7.9
         139.0       8.3
         140.0       5.7
         141.0       3.8
         142.0       1.1
         154.0     100.0
         155.0       9.5
         156.0      32.4
         157.0       3.1
         196.0      36.5
         197.0       5.0
         198.0      12.0
         199.0       1.5
    

400 MHz in DMSO-d6


  • 1H NMR 399.65 MHz
    C10 H13 Cl N2 0.039 g : 0.5 ml DMSO-d6
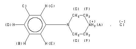
    1-(m-chlorophenyl)piperazine hydrochloride
    ChemicalStructure
        Assign.     Shift(ppm)
    A 9.66 B 7.264 C 7.040 D 6.956 E 6.871 F 3.46 G 3.18

         Hz     ppm     Int.
    

       3863.37   9.667    215
       2911.68   7.286    324
       2903.59   7.266    543
       2895.36   7.245    405
       2815.70   7.046    315
       2813.57   7.041    541
       2811.43   7.035    360
       2784.88   6.969    271
       2783.20   6.965    225
       2782.44   6.963    223
       2777.10   6.949    219
       2776.49   6.948    227
       2774.81   6.944    205
       2751.31   6.885    278
       2750.55   6.883    305
       2749.33   6.880    289
       2748.72   6.878    269
       2743.38   6.865    261
       2742.77   6.863    266
       2741.55   6.860    272
       1387.79   3.473    619
       1381.68   3.458   1000
       1377.41   3.447    708
       1276.09   3.194    540
       1271.36   3.182    646
       1266.63   3.170    436
    

in DMSO-d6



KBr disc



nujol mull