图谱信息 供应商 相关产品
网站主页CAS数据库列表 65405-77-8更多图谱柳酸叶醇酯(65405-77-8)红外图谱(IR1)

柳酸叶醇酯

产品名称 柳酸叶醇酯

CAS号65405-77-8

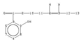
分子式C13H16O3

分子量220.26

展开



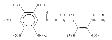
  •     Assign.     Shift(ppm)
    A 10.78 B 7.83 C 7.43 D 6.97 E 6.87 F *1 5.55 G *1 5.40 J 4.342 K 2.52 L 2.09 M 0.98
    Spectral Code: 1H NMR : 90 MHz in CDCl3



  •        ppm   Int.  Assign.
    170.16 387 1 161.85 591 2 135.59 823 3 * 134.98 849 4 * 129.95 882 5 123.41 1000 6 119.08 871 7 117.61 941 8 112.65 457 9 64.82 941 10 26.78 780 11 20.71 796 12 14.21 651 13
    Spectral Code: 13C NMR : in CDCl3


  • Spectral Code: IR : liquid film


  • Spectral Code: Raman : 4880 A,200 M,liquid