
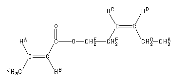
(E,Z)-2-丁烯酸-3-己烯酯
产品名称
(E,Z)-2-丁烯酸-3-己烯酯
CAS号65405-80-3
分子式C10H16O2
分子量168.23
InChIInChI=1S/C10H16O2/c1-3-5-6-7-9-12-10(11)8-4-2/h4-6,8H,3,7,9H2,1-2H3/b6-5-,8-4+
InChIKeyKITGYVIOYOCIIE-QNMAEOQASA-N
SmilesC(OCC/C=C\CC)(=O)/C=C/C
展开
收起
-
Assign. Shift(ppm)
A 6.960
B 5.843
C 5.495
D 5.346
E 4.117
F 2.40
G 2.02
J 1.873
K 0.971
Spectral Code: 1H NMR : 90 MHz in CDCl3
-
ppm Int. Assign.
166.44 435 1
144.40 897 2
134.50 924 3
123.95 989 4 *
122.90 946 5 *
63.73 1000 6
26.96 924 7
20.69 870 8
17.91 734 9
14.27 668 10
Spectral Code: 13C NMR : in CDCl3
-
Spectral Code: IR : liquid film
-
Spectral Code: Raman : 4880 A,200 M,liquid
(E,Z)-2-丁烯酸-3-己烯酯(65405-80-3)核磁图(13CNMR) 相关产品图谱