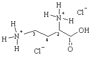
产品名称 2,4-二氨基丁酸盐酸盐
CAS号65427-54-5
分子式C4H12Cl2N2O2
分子量191.06
InChIInChI=1S/C4H10N2O2.2ClH/c5-2-1-3(6)4(7)8;;/h3H,1-2,5-6H2,(H,7,8);2*1H
InChIKeyCKAAWCHIBBNLOJ-UHFFFAOYSA-N
SmilesC(O)(=O)C(N)CCN.[H]Cl.[H]Cl
展开 收起
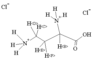
Assign. Shift(ppm) B 4.201 C *1 3.30 D *1 3.24 E *2 2.37 F *2 2.29 THE SOLVENT SIGNAL REMOVED.
ppm Int. Assign. 171.48 989 1 51.33 1000 2 36.94 705 3 28.33 884 4
更多供应商
2,4-二氨基丁酸盐酸盐(65427-54-5)Raman光谱 相关产品图谱