图谱信息 供应商 相关产品
网站主页CAS数据库列表 6554-98-9更多图谱反式-4-羟基芪(6554-98-9)质谱(MS)

反式-4-羟基芪

产品名称 反式-4-羟基芪

CAS号6554-98-9

分子式C14H12O

分子量196.24


  • Mass

    MS-IW-0062          
    trans-4-hydroxystilbene
    C14H12O             (Mass of molecular ion:    196)
    

       Source Temperature: 170 °C
       Sample Temperature: 120 °C
       Direct, 75 eV
    

          39.0       1.3
          51.0       1.6
          63.0       1.7
          65.0       1.2
          76.0       3.2
          77.0       1.6
          82.0       2.2
          82.5       1.7
          83.0       1.8
          84.0       1.5
          88.0       2.1
          88.5       1.1
          89.0       4.9
          94.0       1.2
          97.0       3.6
          98.0       4.0
         102.0       1.1
         115.0       2.1
         118.0       1.4
         128.0       1.1
         139.0       1.7
         141.0       1.2
         151.0       1.9
         152.0       6.8
         153.0       2.6
         164.0       1.0
         165.0      11.3
         166.0       4.6
         167.0      11.6
         168.0       2.0
         176.0       4.2
         177.0      20.5
         178.0       7.7
         179.0       7.5
         180.0       1.1
         181.0      12.7
         182.0       1.8
         194.0       4.6
         195.0      30.0
         196.0     100.0
         197.0      15.1
         198.0       1.3
    

400 MHz in DMSO-d6


  • 1H NMR 399.65 MHz
    C14 H12 O 0.031 g : 0.5 ml DMSO-d6
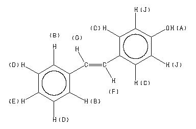
    trans-4-hydroxystilbene
    ChemicalStructure
        Assign.     Shift(ppm)
    A 9.63 B 7.543 C 7.440 D 7.348 E 7.226 F 7.150 G 7.028 J 6.802 ASSIGNED BY H-H COSY. J(F,G)=16.5HZ

         Hz     ppm     Int.
    

       3848.27   9.630    188
       3018.49   7.553    674
       3011.17   7.535    780
       3010.71   7.534    774
       2978.06   7.452    868
       2969.36   7.430    946
       2944.49   7.368    447
       2937.01   7.349    854
       2929.23   7.330    514
       2894.13   7.242    299
       2886.81   7.224    440
       2879.49   7.206    177
       2868.35   7.178    347
       2852.02   7.137    638
       2814.79   7.044    637
       2798.31   7.002    349
       2725.68   6.821    133
       2722.93   6.814   1000
       2714.39   6.792    986
    

in DMSO-d6



KBr disc



nujol mull