图谱信息 供应商 相关产品
网站主页CAS数据库列表 657-26-1更多图谱L-赖氨酸二盐酸盐(657-26-1)红外图谱(IR1)

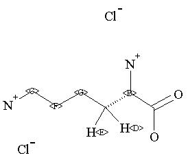
L-赖氨酸二盐酸盐

产品名称 L-赖氨酸二盐酸盐

CAS号657-26-1

分子式C6H16Cl2N2O2

分子量219.11

展开

400 MHz in D2O

90 MHz in D2O


  • 1H NMR 399.65 MHz
    C6 H14 N2 O2 0.037 g : 0.5 ml D2O
    L-lysine dihydrochloride
    ChemicalStructure
        Assign.     Shift(ppm)
    B 4.117 C 3.034 D *1 2.03 E *1 1.97 F 1.741 G 1.54 THE SOLVENT SIGNAL REMOVED.

         Hz     ppm     Int.
    

       1651.73   4.133    449
       1645.39   4.118    867
       1642.46   4.110    157
       1639.04   4.102    453
       1220.34   3.054    626
       1212.77   3.035   1000
       1204.96   3.016    640
        829.96   2.077    145
        829.71   2.077    145
        824.46   2.063    147
        824.10   2.063    143
        820.92   2.055    231
        818.85   2.049    211
        815.19   2.040    376
        812.74   2.034    189
        810.30   2.028    344
        804.44   2.013    567
        798.22   1.998    499
        793.33   1.986    274
        791.38   1.981    286
        787.60   1.971    344
        783.08   1.960    197
        782.71   1.959    197
        781.13   1.955    258
        773.32   1.935    145
        712.28   1.783    223
        704.47   1.763    710
        696.78   1.744    982
        689.09   1.725    795
        681.52   1.706    320
        636.47   1.593    213
        630.62   1.578    229
        629.03   1.574    282
        625.85   1.566    250
        623.29   1.560    298
        620.97   1.554    338
        618.41   1.548    300
        615.48   1.541    304
        613.04   1.534    372
        610.47   1.528    268
        607.79   1.521    292
        605.10   1.515    310
        602.54   1.508    252
        601.07   1.504    211
        600.10   1.502    233
        597.17   1.495    235
        594.60   1.488    189
        589.36   1.475    161
    


  • 1H NMR 89.56 MHz
    C6 H14 N2 O2 0.042 g : 0.5 ml D2O
    L-lysine dihydrochloride
    ChemicalStructure
        Assign.     Shift(ppm)
    B 4.075 C 3.024 D 1.99 E 1.79 to 1.45 THE SOLVENT SIGNAL REMOVED.

         Hz     ppm     Int.
    

        371.50   4.149    435
        371.38   4.147    435
        365.50   4.082   1000
        359.25   4.012    581
        278.69   3.112    443
        278.38   3.109    443
        278.00   3.105    423
        271.94   3.037    842
        264.88   2.958    607
        264.50   2.954    623
        182.75   2.041    518
        181.00   2.021    516
        180.25   2.013    494
        177.63   1.984    476
        177.00   1.977    486
        174.63   1.950    844
        172.94   1.931    468
        168.38   1.881    494
        168.19   1.878    494
        157.69   1.761    630
        157.19   1.756    626
        156.38   1.747    593
        156.00   1.742    593
        155.44   1.736    609
        154.94   1.731    609
        154.56   1.726    626
        151.75   1.695    709
        148.00   1.653    889
        147.69   1.650    883
        146.25   1.633    913
        146.06   1.631    913
        144.69   1.616    765
        142.25   1.589    713
        140.56   1.570    617
        140.25   1.566    615
    

in D2O



KBr disc



nujol mull