图谱信息 供应商 相关产品
网站主页CAS数据库列表 66-71-7更多图谱1,10-菲罗啉(66-71-7)质谱(MS)

1,10-菲罗啉

产品名称 1,10-菲罗啉

CAS号66-71-7

分子式C12H8N2

分子量180.21

展开


  • Mass

    MS-IW-3470          
    1,10-phenanthroline
    C12H8N2 H2O         (Mass of molecular ion:    180)
    

       Source Temperature: 130 °C
       Sample Temperature:  90 °C
       Direct, 75 eV
    

          39.0       1.0
          50.0       2.5
          51.0       2.1
          62.0       1.4
          63.0       5.6
          74.0       2.2
          75.0       3.0
          76.0       4.0
          76.5       5.3
          77.0       2.4
          90.0       9.0
          90.5       1.2
          99.0       1.8
         100.0       2.1
         101.0       1.7
         102.0       1.1
         125.0       3.8
         126.0       3.7
         127.0       4.9
         128.0       1.2
         129.0       2.3
         151.0       1.7
         152.0       6.0
         153.0       9.9
         154.0      12.8
         155.0       1.4
         179.0      30.4
         180.0     100.0
         181.0      13.9
    

parameter in CDCl3


  • 1H NMR 300 MHz
    C12 H8 N2 in CDCl3
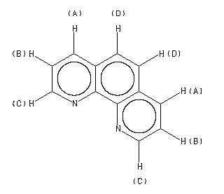
    1,10-phenanthroline
    ChemicalStructure
        Parameter     ppm  Hz
    D(A) 8.20 D(B) 7.58 D(C) 9.18 J(A,B) 8.1 J(A,C) 1.8 J(B,C) 4.3 D(D) 8.22 MARTIN,R.H. ET AL. TETRAHEDRON SUPPL. 8, 181 (1966)

         Hz     ppm     Int.
    

       2757.06   9.190    250
       2755.28   9.184    258
       2752.77   9.176    259
       2750.98   9.170    258
       2466.00   8.220   1000
       2463.25   8.211    258
       2456.94   8.190    267
       2455.16   8.184    263
       2280.09   7.600    257
       2275.80   7.586    254
       2272.02   7.573    237
       2267.72   7.559    231
    

in CDCl3



KBr disc



nujol mull





REDUCTION WITH LI AMALGUM IN MTHF