图谱信息 供应商 相关产品
网站主页CAS数据库列表 66-99-9更多图谱2-萘甲醛(66-99-9)Raman光谱

2-萘甲醛

产品名称 2-萘甲醛

CAS号66-99-9

分子式C11H8O

分子量156.18

展开



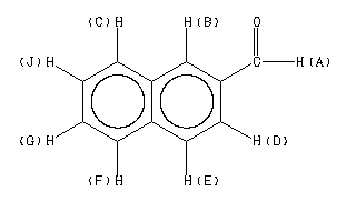
  •     Assign.     Shift(ppm)
    A 10.127 B 8.285 C 7.963 D 7.927 E *1 7.89 F *1 7.87 G *2 7.615 J *2 7.563
    Spectral Code: 1H NMR : 400 MHz in CDCl3



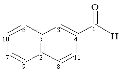
  •        ppm   Int.  Assign.
    192.01 247 1 136.40 163 2 134.32 472 3 134.18 382 4 132.64 247 5 129.50 539 6 * 129.04 1000 7 * 8 * 128.03 404 9 # 127.03 489 10 # 122.75 455 11
    Spectral Code: 13C NMR : in CDCl3


  • Spectral Code: IR : KBr disc