-
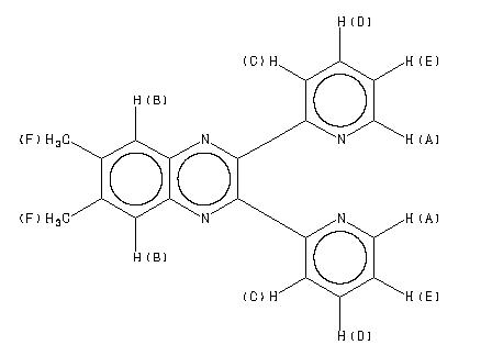
MS-NW-7203 6,7-dimethyl-2,3-di(2-pyridyl)quinoxaline C20H16N4 (Mass of molecular ion: 312)
Source Temperature: 180 °C Sample Temperature: 130 °C Direct, 75 eV
18.0 1.9 27.0 2.6 28.0 1.0 39.0 3.8 50.0 1.5 51.0 6.6 52.0 2.8 53.0 2.0 54.0 1.1 63.0 2.8 64.0 2.0 65.0 1.2 75.0 1.1 76.0 1.8 77.0 6.8 78.0 16.6 79.0 1.5 89.0 1.8 102.0 2.1 103.0 8.2 104.0 2.5 105.0 1.2 128.0 1.2 134.5 1.1 135.0 1.4 135.5 1.0 141.0 1.2 141.5 1.1 142.0 2.6 142.5 2.5 148.0 4.9 148.5 4.0 154.0 1.1 155.0 4.0 155.5 2.3 156.0 7.0 156.5 1.5 180.0 1.3 192.0 2.3 193.0 1.8 207.0 1.8 283.0 1.1 284.0 3.6 285.0 1.3 296.0 1.3 309.0 1.8 310.0 4.6 311.0 100.0 312.0 56.5 313.0 10.5 314.0 1.1
400 MHz in CDCl3
90 MHz in CDCl3
-
1H NMR 399.65 MHz C20 H16 N4 0.042 g : 0.5 ml CDCl3 6,7-dimethyl-2,3-di(2-pyridyl)quinoxaline 
Assign. Shift(ppm)
A 8.368 B 7.972 C 7.928 D 7.784 E 7.205 F 2.512
Hz ppm Int.3348.75 8.380 112 3347.78 8.377 138 3347.05 8.375 142 3346.19 8.373 126 3343.87 8.367 124 3343.02 8.365 146 3342.29 8.364 144 3341.31 8.361 123 3186.16 7.973 319 3174.07 7.943 112 3173.10 7.940 176 3172.12 7.938 121 3166.14 7.923 147 3165.28 7.921 225 3164.31 7.918 151 3119.14 7.805 101 3117.43 7.801 103 3111.45 7.786 172 3109.74 7.782 171 3103.76 7.767 90 3102.05 7.762 86 2886.35 7.223 105 2885.25 7.220 109 2881.59 7.211 108 2880.37 7.208 118 2878.78 7.204 113 2877.69 7.201 106 2874.02 7.192 101 2872.80 7.189 100 1003.91 2.512 1000
-
1H NMR 89.56 MHz C20 H16 N4 0.042 g : 0.5 ml CDCl3 6,7-dimethyl-2,3-di(2-pyridyl)quinoxaline 
Assign. Shift(ppm)
A 8.357 B 7.97 C 7.93 D 7.79 E 7.205 F 2.512 J(A,C)=1.0HZ J(A,D)=1.7HZ J(A,E)=4.8HZ J(B,F)=0.4HZ J(C,E)=1.7HZ
Hz ppm Int.752.44 8.402 100 751.31 8.389 131 750.81 8.384 124 749.69 8.371 119 747.63 8.348 118 746.56 8.336 143 745.88 8.329 134 744.88 8.318 125 713.81 7.971 325 713.06 7.962 338 707.88 7.904 199 706.81 7.893 226 706.19 7.886 215 705.19 7.874 193 704.00 7.861 187 702.31 7.842 164 696.94 7.782 185 695.19 7.763 166 689.06 7.694 80 687.31 7.675 72 651.56 7.276 139 649.75 7.255 128 646.63 7.221 121 644.94 7.202 137 644.44 7.196 118 642.69 7.177 97 639.50 7.141 93 637.88 7.123 88 225.25 2.516 1000 224.81 2.511 972
更多供应商






