-
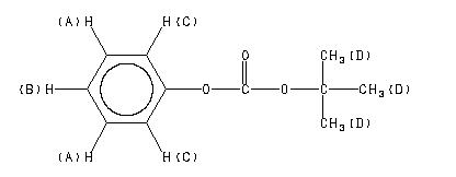
MS-NW-5816 tert-butyl phenyl carbonate C11H14O3 (Mass of molecular ion: 194)
Source Temperature: 260 °C Sample Temperature: 190 °C Reservoir, 75 eV
15.0 1.4 16.0 1.0 26.0 1.7 27.0 8.0 28.0 4.3 29.0 15.8 37.0 2.4 38.0 5.4 39.0 28.4 40.0 9.7 41.0 51.3 42.0 2.2 43.0 2.6 44.0 25.7 47.0 2.2 50.0 4.6 51.0 6.5 52.0 1.0 53.0 2.3 55.0 7.5 56.0 20.1 57.0 87.8 58.0 4.2 62.0 1.5 63.0 3.0 64.0 1.4 65.0 14.7 66.0 13.8 67.0 1.0 77.0 15.9 78.0 1.3 93.0 1.6 94.0 100.0 95.0 12.7 107.0 2.9 121.0 2.0 135.0 7.1 179.0 2.2
90 MHz in CDCl3
-
1H NMR 89.56 MHz C11 H14 O3 0.04 ml : 0.5 ml CDCl3 tert-butyl phenyl carbonate 
Assign. Shift(ppm)
A 7.36 B 7.21 C 7.16 D 1.551 CALCULATED BY LAOCN PROGRUM.
Hz ppm Int.654.71 7.311 23 653.52 7.298 50 652.66 7.288 48 650.10 7.259 26 648.82 7.245 37 646.68 7.221 22 644.97 7.202 88 643.52 7.186 39 638.82 7.133 24 138.94 1.552 1000
更多供应商





