-
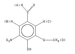
MS-IW-1771 4-hydroxy-3-methoxy-5-nitrobenzaldehyde C8H7NO5 (Mass of molecular ion: 197)
Source Temperature: 160 °C Sample Temperature: 140 °C Direct, 75 eV
28.0 1.3 29.0 1.9 30.0 1.2 37.0 1.0 38.0 1.3 39.0 3.2 41.0 1.3 49.0 1.0 50.0 5.3 51.0 11.4 52.0 3.6 53.0 6.9 54.0 1.1 55.0 1.7 61.0 1.3 62.0 3.4 63.0 3.8 64.0 2.0 65.0 11.7 66.0 3.9 67.0 1.7 68.0 1.5 69.0 1.2 77.0 4.1 78.0 2.1 79.0 12.8 80.0 3.4 81.0 1.4 91.0 2.3 92.0 1.4 93.0 3.4 94.0 1.3 95.0 1.0 96.0 1.4 107.0 4.1 108.0 2.5 109.0 2.5 119.0 1.7 120.0 1.7 121.0 4.4 122.0 7.3 123.0 1.0 135.0 20.3 136.0 13.9 137.0 5.4 149.0 14.0 150.0 8.2 151.0 2.1 152.0 7.0 154.0 1.5 167.0 1.9 179.0 7.1 180.0 37.7 181.0 4.4 182.0 1.0 196.0 12.4 197.0 100.0 198.0 9.4 199.0 1.4
400 MHz in DMSO-d6
更多供应商







