图谱信息 供应商 相关产品
网站主页CAS数据库列表 666-99-9更多图谱落叶松蕈酸(666-99-9)红外图谱(IR1)

落叶松蕈酸

产品名称 落叶松蕈酸

CAS号666-99-9

分子式C22H40O7

分子量416.55

展开


  • Mass

    MS-NW-7192          
    2-hydroxy-1,2,3-nonadecanetricarboxylic acid
    C22H40O7 3/2H2O     (Mass of molecular ion:    416)
    

       Source Temperature: 190 °C
       Sample Temperature: 170 °C
       Direct, 75 eV
    

          15.0       1.1
          16.0       1.6
          17.0       4.5
          18.0      20.6
          27.0      15.1
          28.0       7.5
          29.0      38.1
          39.0       9.9
          40.0       2.6
          41.0      74.9
          42.0      14.2
          43.0     100.0
          44.0      36.7
          45.0       1.8
          52.0       1.0
          53.0       8.5
          54.0      12.9
          55.0      65.2
          56.0      15.6
          57.0      51.6
          58.0      28.0
          59.0      21.7
          60.0       3.2
          65.0       1.7
          66.0       1.9
          67.0      19.0
          68.0      11.3
          69.0      30.7
          70.0      10.2
          71.0      22.3
          72.0       1.7
          73.0       4.8
          77.0       1.8
          79.0       6.5
          80.0       5.6
          81.0      18.9
          82.0      13.9
          83.0      20.7
          84.0       9.6
          85.0      10.0
          86.0       1.4
          87.0       7.1
          91.0       1.9
          93.0       5.2
          94.0       6.4
          95.0      16.1
          96.0      12.5
          97.0      19.9
          98.0      22.0
          99.0       3.6
         100.0       2.7
         102.0      23.3
         103.0       7.8
         105.0       1.4
         107.0       4.0
         108.0       3.8
         109.0       9.9
         110.0       5.8
         111.0       8.7
         112.0       7.7
         113.0       4.4
         114.0       1.4
         115.0      24.4
         116.0       2.8
         119.0       1.3
         121.0       4.3
         122.0       4.2
         123.0       6.4
         124.0       4.5
         125.0       4.3
         126.0      18.9
         127.0       3.0
         128.0      12.4
         129.0       6.7
         130.0       1.6
         131.0       1.5
         133.0       1.4
         134.0       1.1
         135.0       3.7
         136.0       3.7
         137.0       5.6
         138.0       5.4
         139.0       5.4
         140.0       7.6
         141.0       5.2
         142.0       1.7
         144.0       2.0
         146.0       6.9
         147.0       4.8
         148.0       1.7
         149.0       2.7
         150.0       4.8
         151.0       4.8
         152.0       5.2
         153.0       3.4
         154.0       4.7
         155.0       2.4
         156.0       1.9
         157.0       1.0
         158.0       1.0
         159.0       1.7
         163.0       2.5
         164.0       2.4
         165.0       2.8
         166.0       3.7
         167.0       2.1
         168.0       3.9
         169.0       1.8
         170.0       5.6
         171.0       1.2
         177.0       2.0
         178.0       2.1
         179.0       2.3
         180.0       2.6
         181.0       1.8
         182.0       1.6
         183.0       1.0
         184.0       6.8
         188.0       1.3
         191.0       1.4
         192.0       1.5
         193.0       1.7
         194.0       2.8
         195.0       1.5
         196.0       1.8
         198.0       1.7
         205.0       1.1
         207.0       1.2
         208.0       1.0
         210.0       1.9
         221.0       1.0
         222.0       2.4
         223.0       1.1
         224.0       1.8
         234.0       1.7
         235.0       1.7
         247.0       1.6
         248.0       2.1
         262.0       1.0
         263.0       2.3
         264.0       1.8
         265.0       2.6
         266.0       1.9
         267.0       2.1
         282.0       1.8
         283.0       1.1
         290.0       1.3
         291.0       1.6
         292.0       1.3
         293.0       1.3
         306.0       2.5
         308.0       4.3
         309.0       1.3
         310.0       1.2
         316.0       1.3
         318.0       3.1
         324.0       1.4
         326.0       2.4
         334.0       6.8
         335.0       2.5
         336.0       3.4
         337.0       1.0
         352.0       3.4
         353.0       2.3
         370.0       1.3
    

400 MHz in DMSO-d6


  • 1H NMR 399.65 MHz
    C22 H40 O7 0.038 g : 0.5 ml DMSO-d6
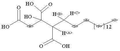
    2-hydroxy-1,2,3-nonadecanetricarboxylic acid
    ChemicalStructure
        Assign.     Shift(ppm)
    A 2.888 B *1 2.49 C *1 2.445 D 1.648 E 1.37 F 1.23 G 0.853

         Hz     ppm     Int.
    

       1163.08   2.911     35
       1146.84   2.870     40
        990.43   2.479     41
        984.23   2.463     28
        982.09   2.458     28
        972.48   2.434     28
        970.34   2.428     26
        508.14   1.272     56
        493.61   1.236   1000
        462.20   1.157     32
        457.50   1.145     21
        454.93   1.139     23
        348.09   0.871     63
        341.68   0.855    167
        334.63   0.838     73
    

KBr disc



nujol mull