图谱信息 供应商 相关产品
网站主页CAS数据库列表 6665-83-4更多图谱6-羟基黄酮(6665-83-4)红外图谱(IR2)

6-羟基黄酮

产品名称 6-羟基黄酮

CAS号6665-83-4

分子式C15H10O3

分子量238.24

展开


  • Mass

    MS-IW-7209          
    6-hydroxyflavone
    C15H10O3            (Mass of molecular ion:    238)
    

       Source Temperature: 180 °C
       Sample Temperature: 160 °C
       Direct, 75 eV
    

          17.0       1.4
          18.0       8.1
          28.0       1.0
          31.0       1.5
          32.0       4.8
          50.0       1.0
          51.0       2.3
          52.0       4.0
          53.0       1.6
          63.0       1.3
          76.0       3.5
          77.0       2.2
          78.0       1.2
          79.0       1.2
          80.0       7.0
          82.0       2.5
         102.0       2.8
         105.0       8.3
         107.0       2.2
         108.0       9.3
         119.0       2.1
         135.0       3.6
         136.0      91.1
         137.0       7.2
         152.0       1.2
         210.0       4.6
         237.0      10.3
         238.0     100.0
         239.0      17.2
         240.0       2.0
    

400 MHz in DMSO-d6


  • 1H NMR 399.65 MHz
    C15 H10 O3 0.040 g : 0.5 ml DMSO-d6
    6-hydroxyflavone
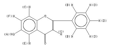
    ChemicalStructure
        Assign.     Shift(ppm)
    A 10.1 B 8.096 C 7.676 D 7.61 E 7.390 F 7.304 G 6.984

         Hz     ppm     Int.
    

       4032.29  10.090    924
       3243.26   8.116     45
       3240.36   8.108    309
       3238.83   8.105    367
       3237.15   8.100    184
       3234.86   8.095    141
       3232.88   8.090    294
       3230.74   8.084    370
       3072.66   7.689    412
       3063.81   7.667    466
       3052.37   7.638     33
       3047.49   7.626    101
       3045.96   7.622    135
       3041.08   7.610    637
       3038.48   7.603    264
       3033.91   7.592    348
       3030.24   7.583     77
       3028.41   7.578    103
       3026.89   7.574     50
       3025.05   7.570     68
       2955.02   7.395    421
       2951.97   7.387    488
       2924.96   7.319    300
       2921.91   7.312    242
       2915.95   7.297    267
       2912.90   7.289    230
       2791.14   6.984   1000
    

in DMSO-d6



KBr disc



nujol mull