图谱信息 供应商 相关产品
网站主页CAS数据库列表 66734-13-2更多图谱阿氯米松双丙酸酯(66734-13-2)质谱(MS)

阿氯米松双丙酸酯

产品名称 阿氯米松双丙酸酯

CAS号66734-13-2

分子式C28H37ClO7

分子量521.04

展开


  • Mass

    MS-IW-4297          
    7alpha-chloro-11beta,17,21-trihydroxy-16alpha-methyl-1,4-pregnadiene-3,20-dione 17,21-dipropionate
    C28H37ClO7          (Mass of molecular ion:    520)
    

       Source Temperature: 180 °C
       Sample Temperature: 160 °C
       Direct, 75 eV
    

          17.0       3.3
          18.0      19.2
          26.0       2.0
          27.0       6.3
          28.0      10.0
          29.0      26.6
          30.0       1.5
          36.0       9.6
          38.0       3.6
          39.0       1.0
          41.0       4.0
          43.0       7.7
          44.0       2.1
          45.0       3.6
          53.0       1.6
          55.0       6.9
          56.0       6.8
          57.0     100.0
          58.0       3.8
          65.0       1.1
          67.0       2.7
          69.0       3.9
          71.0       2.2
          73.0       5.1
          74.0       7.7
          77.0       3.3
          79.0       3.3
          81.0       3.9
          82.0       1.1
          83.0       2.8
          85.0       1.7
          87.0       3.5
          91.0       6.5
          92.0       1.1
          93.0       4.4
          94.0       1.1
          95.0       5.4
          96.0       1.5
          97.0       2.6
          99.0       1.1
         101.0       1.0
         103.0       1.2
         105.0       4.4
         107.0       6.7
         108.0       3.1
         109.0       4.8
         110.0       1.2
         111.0       5.3
         115.0       9.4
         116.0       1.8
         117.0       2.6
         119.0       3.0
         120.0       2.0
         121.0      25.4
         122.0       5.4
         123.0       3.0
         125.0       1.6
         127.0       1.7
         128.0       2.3
         129.0       2.6
         130.0       1.1
         131.0       3.5
         132.0       1.4
         133.0       4.7
         134.0       3.9
         135.0       6.1
         136.0       1.4
         137.0       2.7
         139.0       1.1
         141.0       2.6
         142.0       1.2
         143.0       2.1
         144.0       2.1
         145.0       7.0
         146.0       2.4
         147.0      10.3
         148.0       2.0
         149.0       2.8
         151.0       1.1
         152.0       1.4
         153.0       1.9
         155.0       2.2
         157.0       3.6
         158.0       3.7
         159.0       9.5
         160.0       2.1
         161.0       5.3
         162.0       1.1
         163.0       2.4
         165.0       2.1
         166.0       1.3
         167.0       1.5
         169.0       2.3
         170.0       2.0
         171.0      19.5
         172.0       4.0
         173.0       5.6
         174.0       1.4
         175.0       3.4
         177.0       2.2
         178.0       1.2
         179.0       1.9
         181.0       2.9
         182.0       1.0
         183.0       2.3
         184.0       1.6
         185.0      11.2
         186.0       2.3
         187.0       3.9
         188.0       1.7
         189.0       2.5
         191.0       1.3
         193.0       1.5
         194.0       1.0
         195.0       2.2
         196.0       1.2
         197.0       2.8
         199.0       1.3
         203.0       5.8
         204.0       1.3
         205.0       1.8
         207.0       3.1
         208.0       1.8
         209.0       4.0
         210.0       1.5
         211.0       4.0
         212.0       1.3
         213.0       1.4
         215.0       1.3
         219.0       1.1
         221.0       5.1
         222.0       3.8
         223.0       7.7
         224.0       2.7
         225.0       3.4
         226.0       1.0
         227.0       1.3
         229.0       1.0
         233.0       1.2
         234.0       1.1
         235.0       3.0
         236.0       5.8
         237.0      12.8
         238.0       4.4
         239.0       3.6
         240.0       1.0
         241.0       1.3
         245.0       1.0
         247.0       1.5
         248.0       1.4
         249.0       1.8
         251.0       2.3
         252.0       1.0
         253.0       1.6
         254.0       1.2
         255.0       1.6
         256.0       1.4
         257.0       1.0
         259.0       1.6
         260.0       1.2
         261.0       2.5
         262.0       9.7
         263.0       4.4
         264.0       1.6
         265.0       1.8
         267.0       2.8
         274.0       1.1
         275.0       3.3
         276.0       2.0
         277.0      25.2
         278.0       6.9
         279.0       6.8
         280.0       2.2
         281.0       1.3
         289.0       1.4
         290.0       1.3
         291.0       1.4
         292.0       1.3
         293.0       3.9
         294.0       2.0
         295.0      25.8
         296.0       6.4
         297.0       3.4
         298.0       1.7
         301.0       1.0
         303.0       1.9
         305.0       1.6
         307.0       1.9
         308.0       1.1
         309.0       1.1
         311.0       1.6
         312.0       1.2
         313.0      15.0
         314.0       3.7
         315.0       5.9
         316.0       1.5
         317.0       1.0
         318.0       2.1
         319.0       1.8
         320.0       1.0
         321.0       2.1
         323.0       9.4
         324.0       2.1
         325.0       1.7
         329.0       1.0
         331.0      40.1
         332.0       9.8
         333.0      15.6
         334.0       4.0
         335.0       1.6
         336.0       3.4
         337.0       2.1
         338.0       1.2
         341.0       2.7
         343.0       1.1
         345.0       1.1
         347.0       1.5
         349.0       5.3
         350.0       1.3
         351.0       4.2
         352.0       1.4
         354.0       4.2
         355.0       1.5
         359.0       6.0
         360.0       1.3
         361.0       2.9
         369.0       1.9
         372.0       2.2
         374.0       1.0
         377.0       1.3
         387.0       1.0
         390.0       4.2
         391.0       1.2
         392.0       1.9
         397.0       7.9
         398.0       2.2
         405.0       2.0
         410.0       2.0
         433.0      22.2
         434.0       5.9
         435.0       8.0
         436.0       1.8
         446.0       1.3
         484.0       1.1
    

400 MHz in CDCl3


  • 1H NMR 399.65 MHz
    C28 H37 Cl O7 0.031 g : 0.5 ml CDCl3
    7alpha-chloro-11beta,17,21-trihydroxy-16alpha-methyl-1,4-pregnadiene-3,20-dione17,21-dipropionate
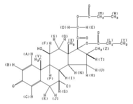
    ChemicalStructure
        Assign.     Shift(ppm)
    A 7.290 B 6.313 C 6.093 D *1 4.859 E *1 4.825 F 4.569 G 4.495 I 3.231 J 3.092 K 2.684 L 2.492 M 2.387 N 2.336 P 2.13 Q 2.08 R 1.87 S 1.80 T 1.632 U 1.49 V 1.476 W 1.187 X 1.138 Y 1.133 Z 0.979 ASSIGNED BY C-H COSY

         Hz     ppm     Int.
    

       2918.70   7.304    163
       2908.57   7.278    176
       2529.17   6.329    130
       2527.34   6.324    131
       2519.04   6.304    125
       2517.21   6.299    133
       2436.65   6.097    112
       2435.06   6.093    176
       2433.59   6.090    110
       1955.81   4.894     35
       1939.70   4.854    141
       1931.52   4.834    230
       1915.53   4.794     59
       1825.93   4.569     69
       1824.10   4.565     56
       1823.61   4.564     56
       1800.90   4.507     35
       1797.85   4.499     83
       1794.92   4.492     83
       1791.75   4.484     36
       1289.18   3.226     35
       1246.58   3.120     36
       1244.87   3.115     42
       1242.68   3.110     42
       1241.09   3.106     42
       1232.30   3.084     49
       1230.59   3.080     51
       1228.39   3.074     49
       1226.93   3.071     43
       1080.81   2.705     66
       1078.13   2.698     69
       1066.53   2.669     60
       1063.84   2.662     58
       1007.45   2.521     92
        999.88   2.502    311
        992.43   2.484    341
        984.86   2.465    117
        966.06   2.418     54
        964.84   2.415     58
        958.37   2.399    180
        957.28   2.396    192
        950.81   2.380    199
        949.83   2.377    201
        946.41   2.369     41
        943.24   2.361     95
        942.38   2.359     85
        935.18   2.340     63
        932.37   2.333     62
        924.07   2.313     40
        921.02   2.305     40
        859.62   2.151     34
        855.47   2.141     45
        847.78   2.122     46
        844.60   2.114     34
        839.36   2.101     44
        836.55   2.094     66
        825.20   2.065     54
        821.90   2.057     51
        819.09   2.050     38
        770.02   1.927     42
        761.23   1.905     31
        749.02   1.875     67
        738.16   1.848     66
        733.52   1.836     76
        730.83   1.829     77
        725.83   1.817     49
        722.17   1.808    115
        721.80   1.807    115
        719.36   1.800     98
        716.55   1.793     64
        661.13   1.655     50
        657.71   1.646     50
        649.66   1.626     47
        646.48   1.618     46
        606.45   1.518     36
        602.29   1.508     42
        598.51   1.498     39
        594.24   1.487     74
        589.97   1.477   1000
        582.28   1.457     44
        581.91   1.457     43
        482.18   1.207    406
        479.25   1.200     37
        477.54   1.195     41
        474.61   1.188    897
        469.85   1.176     35
        467.04   1.169    406
        460.69   1.153    390
        454.83   1.139    703
        453.13   1.134    964
        450.56   1.128     81
        445.56   1.115    372
        442.87   1.109     37
        395.02   0.989    286
        387.82   0.971    289
    

in CDCl3



KBr disc



nujol mull