-
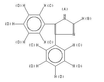
MS-NW-6307 4,5-diphenylimidazole C15H12N2 (Mass of molecular ion: 220)
Source Temperature: 160 °C Sample Temperature: 120 °C Direct, 75 eV
18.0 1.8 28.0 1.5 39.0 3.7 50.0 1.9 51.0 3.7 62.0 2.2 63.0 5.9 64.0 1.2 75.0 1.0 76.0 1.3 77.0 4.4 82.0 1.1 82.5 3.5 87.0 1.2 88.0 1.2 89.0 10.5 90.0 2.7 95.5 1.7 96.5 1.1 104.0 1.0 109.0 1.5 109.5 4.7 110.0 3.4 115.0 1.3 116.0 1.6 117.0 1.0 139.0 2.1 140.0 1.0 163.0 2.5 164.0 3.0 165.0 32.9 166.0 5.3 190.0 3.6 191.0 1.6 192.0 1.8 193.0 1.7 205.0 1.3 218.0 5.7 219.0 61.8 220.0 100.0 221.0 16.0 222.0 1.4
400 MHz in DMSO-d6
-
1H NMR 399.65 MHz C15 H12 N2 0.012 g : 0.5 ml DMSO-d6 4,5-diphenylimidazole 
Assign. Shift(ppm)
A 12.5 B 7.781 C 7.496 D 7.41 E 7.33 F 7.28 G 7.20 ASSIGNED BY C-H COSY CONCENTRATED SOLUTION : HSP-43-856
Hz ppm Int.4989.09 12.484 125 3109.98 7.782 1000 3008.51 7.528 34 3000.27 7.508 331 2992.76 7.489 413 2983.97 7.467 75 2983.23 7.465 73 2982.87 7.464 72 2982.50 7.463 72 2982.13 7.462 71 2981.77 7.461 70 2980.85 7.459 69 2979.75 7.456 68 2979.20 7.455 68 2978.65 7.454 69 2978.10 7.452 69 2977.55 7.451 70 2963.27 7.415 859 2957.77 7.401 517 2951.73 7.386 177 2951.36 7.385 176 2950.63 7.384 179 2950.26 7.383 179 2949.90 7.382 179 2943.67 7.366 79 2942.02 7.362 74 2941.10 7.360 75 2940.74 7.359 76 2934.88 7.344 156 2933.78 7.341 148 2929.38 7.330 173 2928.83 7.329 172 2925.54 7.321 137 2925.17 7.320 136 2924.62 7.318 134 2923.89 7.317 134 2918.21 7.302 230 2910.88 7.284 389 2903.37 7.265 249 2895.50 7.246 42 2895.13 7.245 41 2894.40 7.243 41 2893.66 7.241 40 2892.93 7.239 40 2892.38 7.238 39 2891.83 7.236 40 2891.47 7.236 40 2891.10 7.235 42 2889.45 7.230 51 2884.51 7.218 156 2877.36 7.200 179 2872.78 7.189 66 2870.59 7.183 76 2870.22 7.182 76
更多供应商






