图谱信息 供应商 相关产品
网站主页CAS数据库列表 67-16-3更多图谱二硫化硫胺(67-16-3)红外图谱(IR1)

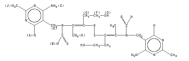
二硫化硫胺

产品名称 二硫化硫胺

CAS号67-16-3

分子式C24H34N8O4S2

分子量562.71

展开



  •     Assign.     Shift(ppm)
    A 7.863 B 7.827 C 6.75 D 4.71 E 4.34 F 3.35 G 2.40 J 2.304 K 1.967
    Spectral Code: 1H NMR : 400 MHz in DMSO-d6



  •        ppm   Int.  Assign.
    166.34 661 1 163.11 528 2 161.91 712 3 155.88 528 4 136.06 124 5 132.28 560 6 108.04 769 7 58.69 747 8 39.54 593 9 33.67 339 10 25.14 1000 11 18.49 839 12
    Spectral Code: 13C NMR : in DMSO-d6


  • Spectral Code: IR : KBr disc