-
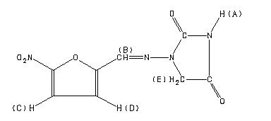
MS-NW-7866 1-(5-nitrofurfurylideneamino)-2,4-imidazolidinedione C8H6N4O5 (Mass of molecular ion: 238)
Source Temperature: 210 °C Sample Temperature: 180 °C Direct, 75 eV
18.0 2.6 26.0 2.3 27.0 2.8 28.0 15.2 29.0 8.7 30.0 5.2 37.0 2.6 38.0 13.4 39.0 7.7 40.0 1.1 41.0 1.2 42.0 17.6 43.0 3.7 44.0 6.9 50.0 6.2 51.0 40.9 52.0 4.7 53.0 1.8 54.0 4.8 55.0 6.8 56.0 2.9 57.0 7.1 64.0 7.8 65.0 7.5 66.0 3.8 67.0 1.1 68.0 1.9 70.0 3.3 72.0 8.5 79.0 48.8 80.0 5.9 81.0 1.3 82.0 11.4 93.0 7.2 94.0 1.4 96.0 3.9 98.0 1.1 100.0 100.0 101.0 4.8 122.0 2.7 123.0 1.7 125.0 1.2 137.0 2.5 139.0 1.9 153.0 1.8 167.0 26.9 168.0 2.7 192.0 1.8 238.0 24.5 239.0 3.0
400 MHz in DMSO-d6
-
1H NMR 399.65 MHz C8 H6 N4 O5 0.043 g : 0.5 ml DMSO-d6 1-(5-nitrofurfurylideneamino)-2,4-imidazolidinedione 
Assign. Shift(ppm)
A 11.5 B 7.801 C 7.787 D 7.145 E 4.368
Hz ppm Int.4593.63 11.495 157 3117.86 7.802 638 3114.38 7.793 503 3110.35 7.783 484 2857.58 7.151 441 2853.73 7.141 420 1745.76 4.369 1000
更多供应商






