图谱信息 供应商 相关产品
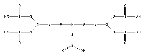
网站主页CAS数据库列表 67-43-6更多图谱二乙烯三胺五醋酸(67-43-6)核磁图(1HNMR)

二乙烯三胺五醋酸

产品名称 二乙烯三胺五醋酸

CAS号67-43-6

分子式C14H23N3O10

分子量393.35

展开



  •     Assign.     Shift(ppm)
    A 3.584 B 3.443 C 3.000 D 2.887
    Spectral Code: 1H NMR : 400 MHz in DMSO-d6



  •        ppm   Int.  Assign.
    172.43 1000 1 169.32 125 2 54.85 431 3 54.65 109 4 51.62 187 5 49.94 161 6
    Spectral Code: 13C NMR : in DMSO-d6


  • Spectral Code: IR : KBr disc