-
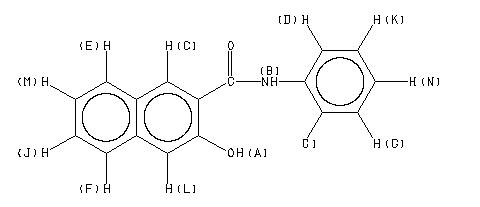
MS-IW-4063 N-(o-chlorophenyl)-3-hydroxy-2-naphthamide C17H12ClNO2 (Mass of molecular ion: 297)
Source Temperature: 170 °C Sample Temperature: 140 °C Direct, 75 eV
17.0 1.1 18.0 5.7 39.0 1.3 63.0 2.8 65.0 2.3 75.0 1.2 88.0 2.0 89.0 3.8 113.0 2.8 114.0 10.1 115.0 35.7 116.0 3.6 127.0 5.6 129.0 1.8 131.0 9.9 131.5 1.8 142.0 22.0 143.0 5.8 148.5 1.1 170.0 100.0 171.0 64.8 172.0 7.4 233.0 1.0 261.0 1.3 262.0 4.6 279.0 1.0 297.0 40.8 298.0 7.9 299.0 13.6 300.0 2.5
400 MHz in DMSO-d6
-
1H NMR 399.65 MHz C17 H12 Cl N O2 0.030 g : 0.5 ml DMSO-d6 N-(o-chlorophenyl)-3-hydroxy-2-naphthamide 
Assign. Shift(ppm)
A *1 12.01 B *1 11.19 C 8.758 D 8.553 E 8.018 F 7.808 G 7.596 J 7.554 K 7.43 L 7.420 M 7.41 N 7.211 ASSIGNED BY H-H AND C-H COSY.
Hz ppm Int.4801.52 12.015 51 4473.29 11.194 327 3500.31 8.759 753 3423.20 8.566 260 3421.73 8.562 283 3414.96 8.545 287 3413.49 8.542 290 3208.89 8.030 294 3200.65 8.009 309 3125.19 7.820 288 3116.76 7.799 335 3040.75 7.609 360 3039.46 7.606 401 3032.69 7.589 413 3031.41 7.586 436 3027.56 7.576 186 3026.28 7.573 203 3020.78 7.559 234 3019.32 7.555 333 3018.03 7.552 204 3012.36 7.538 200 3011.26 7.535 205 2982.87 7.464 174 2981.40 7.461 181 2975.36 7.445 261 2974.44 7.443 286 2973.89 7.442 298 2973.16 7.440 254 2965.65 7.421 1000 2963.45 7.416 339 2957.59 7.401 210 2956.31 7.398 350 2955.21 7.395 263 2949.35 7.380 176 2948.25 7.378 185 2890.18 7.232 249 2888.72 7.229 258 2882.86 7.214 271 2882.31 7.213 292 2881.21 7.210 305 2880.66 7.208 316 2874.80 7.194 217 2873.15 7.190 209
更多供应商





