图谱信息 供应商 相关产品
网站主页CAS数据库列表 67499-52-9更多图谱6-溴-4-甲基-1-苯基蒽吡啶(67499-52-9)质谱(MS)

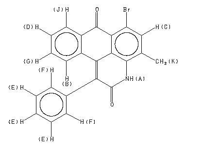
6-溴-4-甲基-1-苯基蒽吡啶

产品名称 6-溴-4-甲基-1-苯基蒽吡啶

CAS号67499-52-9

分子式C23H14BrNO2

分子量416.27


  • Mass

    MS-IW-2197          
    6-bromo-4-methyl-1-phenylnaphtho(1,2,3-de)quinoline-2,7(3H)-dione
    C23H14BrNO2         (Mass of molecular ion:    415)
    

       Source Temperature: 190 °C
       Sample Temperature: 180 °C
       Direct, 75 eV
    

          51.0       1.1
          63.0       1.0
          75.0       1.3
          77.0       1.2
          80.0       1.6
          82.0       1.6
          87.0       1.7
          99.0       1.6
         100.0       2.7
         105.5       1.1
         106.0       1.0
         111.0       1.5
         111.5       1.4
         112.0       5.8
         112.5       2.8
         113.0       5.4
         113.5       1.3
         117.5       1.3
         118.0       1.8
         118.5       2.8
         119.0       1.4
         119.5       1.3
         124.0       3.6
         124.5       2.9
         125.0      11.4
         125.5       4.7
         126.0       8.3
         126.5       2.4
         127.0       1.0
         130.0       1.2
         130.5       4.7
         131.0       4.7
         131.5       7.4
         132.0       3.2
         132.5       2.5
         137.5       1.5
         138.0       4.2
         138.5       5.2
         139.0      10.9
         139.5       4.7
         140.0       1.5
         143.5       1.4
         144.0       3.8
         144.5      15.3
         145.0       6.8
         145.5       2.4
         146.0       1.1
         150.0       2.0
         151.0       2.3
         152.5       1.6
         153.0       1.7
         153.5       8.7
         154.0       4.9
         154.5       1.0
         158.5       1.9
         159.0       7.7
         159.5       2.3
         167.5       1.1
         168.0       1.4
         174.0       1.3
         175.0       1.8
         176.0       6.6
         177.0       3.6
         184.5       1.2
         185.5       1.9
         186.0       1.0
         187.0       1.0
         198.0       1.2
         198.5       3.6
         199.0       2.1
         199.5       3.7
         200.0       2.1
         201.0       1.4
         202.0       1.2
         205.0       1.3
         207.5       7.5
         208.0       2.1
         208.5       7.7
         209.0       2.0
         213.0       1.1
         224.0       2.3
         225.0       1.9
         226.0       2.1
         227.0       1.2
         237.0       1.7
         238.0       1.8
         239.0       1.2
         248.0       1.4
         249.0       1.8
         250.0       6.2
         251.0       4.4
         252.0       6.4
         253.0       2.7
         261.0       1.6
         262.0       2.6
         263.0       3.8
         264.0       5.8
         265.0       2.9
         275.0       2.9
         276.0       3.1
         277.0      10.5
         278.0      15.1
         279.0       6.9
         280.0       4.4
         281.0       1.2
         288.0       7.1
         289.0       9.6
         290.0       6.6
         291.0       1.8
         293.0       1.1
         306.0      11.0
         307.0       9.7
         308.0       4.2
         309.0       1.2
         316.0       1.4
         317.0       5.6
         318.0       5.4
         319.0       2.1
         324.0       1.1
         334.0       5.8
         335.0      46.7
         336.0      24.8
         337.0      11.7
         338.0       2.5
         368.0       8.7
         369.0       2.5
         370.0      16.1
         371.0      10.7
         372.0       5.0
         373.0       3.2
         386.0       3.4
         387.0       3.8
         388.0       4.8
         389.0       3.4
         390.0       1.7
         396.0       6.6
         397.0       4.3
         398.0       8.8
         399.0       4.6
         400.0       3.1
         414.0      76.9
         415.0     100.0
         416.0      97.8
         417.0      99.2
         418.0      22.9
         419.0       3.3
    

400 MHz in DMSO-d6


  • 1H NMR 399.65 MHz
    C23 H14 Br N O2 saturated in DMSO-d6
    6-bromo-4-methyl-1-phenylnaphtho(1,2,3-de)quinoline-2,7(3H)-dione
    ChemicalStructure
        Assign.     Shift(ppm)
    A 11.4 B 8.101 C 7.870 D 7.49 E 7.45 F 7.38 G 7.215 J 7.040 K 2.602

         Hz     ppm     Int.
    

       4540.33  11.361     37
       3242.41   8.114    158
       3241.31   8.111    163
       3234.72   8.094    175
       3233.62   8.092    168
       3145.88   7.872    324
       3145.34   7.871    327
       3001.37   7.510    119
       3000.45   7.508    124
       2998.80   7.504     51
       2996.60   7.499     55
       2993.31   7.490    219
       2988.73   7.479     79
       2988.36   7.478     82
       2986.35   7.473    177
       2985.25   7.470    170
       2983.97   7.467    117
       2980.12   7.457    406
       2977.01   7.450    476
       2975.91   7.447    372
       2973.52   7.441    490
       2971.69   7.436    230
       2967.11   7.425     64
       2966.02   7.422     58
       2965.47   7.421     56
       2964.92   7.419     58
       2964.00   7.417     55
       2963.45   7.416     57
       2963.08   7.415     56
       2962.35   7.413     53
       2961.99   7.412     52
       2961.62   7.411     52
       2961.07   7.410     55
       2960.52   7.408     58
       2957.77   7.401     93
       2956.49   7.398    120
       2954.29   7.393    319
       2952.83   7.389    241
       2951.73   7.386    308
       2949.90   7.382    226
       2948.06   7.377    255
       2946.97   7.374    173
       2946.42   7.373    169
       2944.77   7.369    186
       2941.47   7.361     52
       2892.20   7.237    105
       2890.73   7.234    104
       2884.87   7.219    125
       2883.77   7.216    171
       2882.49   7.213    143
       2876.63   7.198    112
       2875.16   7.195    111
       2817.47   7.050    199
       2817.10   7.049    202
       2809.22   7.030    165
       2808.86   7.029    164
       1040.02   2.603   1000
    

KBr disc



nujol mull