图谱信息 供应商 相关产品
网站主页CAS数据库列表 675-10-5更多图谱4-羟基-6-甲基-2-吡喃酮(675-10-5)质谱(MS)

4-羟基-6-甲基-2-吡喃酮

产品名称 4-羟基-6-甲基-2-吡喃酮

CAS号675-10-5

分子式C6H6O3

分子量126.11

展开


  • Mass

    MS-IW-1773          
    4-hydroxy-6-methyl-2-pyrone
    C6H6O3              (Mass of molecular ion:    126)
    

       Source Temperature: 160 °C
       Sample Temperature: 120 °C
       Direct, 75 eV
    

          14.0       1.5
          15.0       3.4
          25.0       1.0
          26.0       4.3
          27.0       8.6
          28.0       2.8
          29.0       4.9
          37.0       3.3
          38.0       5.7
          39.0      10.3
          40.0       2.9
          41.0       9.3
          42.0      32.2
          43.0      86.4
          44.0       2.9
          50.0       2.0
          51.0       1.6
          52.0       1.1
          53.0       3.8
          54.0       1.4
          55.0      17.8
          56.0       3.0
          58.0       1.4
          66.0       1.3
          68.0       2.0
          69.0     100.0
          70.0       5.3
          83.0       1.0
          84.0      10.8
          85.0      51.5
          86.0       2.5
          97.0       2.2
          98.0      95.3
          99.0       5.6
         111.0      31.9
         112.0       1.8
         126.0      85.2
         127.0       6.0
    

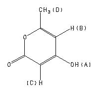
400 MHz in DMSO-d6


  • 1H NMR 399.65 MHz
    C6 H6 O3 0.034 g : 0.5 ml DMSO-d6
    4-hydroxy-6-methyl-2-pyrone
    ChemicalStructure
        Assign.     Shift(ppm)
    A 11.6 B 5.963 C 5.226 D 2.167

         Hz     ppm     Int.
    

       4645.29  11.624     64
       2385.74   5.970    208
       2384.83   5.968    236
       2383.55   5.965    235
       2382.63   5.962    202
       2090.11   5.230    261
       2089.75   5.229    262
       2087.91   5.225    253
       2087.55   5.224    251
        866.19   2.168   1000
    

in DMSO-d6



KBr disc



nujol mull