400 MHz in D2O
-
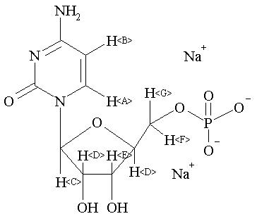
1H NMR 399.65 MHz C9 H12 N3 Na2 O8 P 0.040 g : 0.5 ml D2O cytidine 5'-monophosphate disodium salt 
Assign. Shift(ppm)
A 8.099 B 6.138 C 6.013 D 4.36 E 4.255 F *1 4.065 G *1 3.983 THE SOLVENT PEAK SUPPRESSED.
Hz ppm Int.3240.97 8.110 851 3233.52 8.091 874 2457.03 6.148 311 2449.46 6.130 305 2405.15 6.019 617 2401.37 6.009 675 1749.27 4.378 198 1744.26 4.365 718 1741.46 4.358 1000 1738.04 4.349 804 1733.03 4.337 252 1701.90 4.259 386 1699.22 4.252 375 1633.67 4.088 124 1630.25 4.080 184 1627.32 4.072 143 1621.70 4.058 268 1618.41 4.050 365 1615.36 4.042 253 1601.44 4.008 237 1598.27 4.000 277 1596.56 3.995 292 1593.38 3.987 254 1589.72 3.978 150 1586.67 3.971 145 1584.84 3.966 161 1581.67 3.958 130
更多供应商



