图谱信息 供应商 相关产品
网站主页CAS数据库列表 67604-48-2更多图谱柚皮素(67604-48-2)核磁图(13CNMR)

柚皮素

产品名称 柚皮素

CAS号67604-48-2

分子式C15H12O5

分子量272.25

展开



  •     Assign.     Shift(ppm)
    A *1 12.2 B *1 10.8 C *1 9.6 D 7.322 E 6.811 F 5.904 G 5.434 J *2 3.259 K *2 2.689
    Spectral Code: 1H NMR : 400 MHz in DMSO-d6



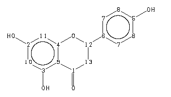
  •        ppm   Int.  Assign.
    196.14 449 1 166.59 576 2 163.46 582 3 162.86 447 4 157.67 558 5 128.84 561 6 128.15 908 7 115.15 1000 8 101.77 446 9 95.79 302 10 94.95 394 11 78.36 403 12 42.31 173 13
    Spectral Code: 13C NMR : in DMSO-d6


  • Spectral Code: IR : nujol mull