图谱信息 供应商 相关产品
网站主页CAS数据库列表 67801-07-4更多图谱(E)-3-(三氟甲基)肉桂酸(67801-07-4)核磁图(1HNMR)

(E)-3-(三氟甲基)肉桂酸

产品名称 (E)-3-(三氟甲基)肉桂酸

CAS号67801-07-4

分子式C10H7F3O2

分子量216.16

展开


  • Mass

    MS-NW-6720          
    trans-3-(trifluoromethyl)cinnamic acid
    C10H7F3O2           (Mass of molecular ion:    216)
    

       Source Temperature: 260 °C
       Sample Temperature: 190 °C
       Reservoir, 75 eV
    

          18.0       2.8
          26.0       1.2
          27.0       2.5
          28.0       2.0
          29.0       1.1
          31.0       1.2
          37.0       1.4
          38.0       2.7
          39.0       4.7
          42.0       2.0
          43.0       1.1
          44.0       2.9
          45.0       6.4
          49.0       1.3
          50.0      11.8
          51.0      12.5
          52.0       2.3
          53.0       1.3
          54.0       2.1
          55.0       1.4
          57.0       2.8
          60.0       1.2
          61.0       1.9
          62.0       4.1
          63.0       6.6
          65.0       1.6
          69.0       7.1
          70.0       2.6
          71.0       3.2
          73.0       1.3
          74.0       8.5
          74.5       1.2
          75.0      16.1
          75.5       1.3
          76.0       8.4
          77.0       4.3
          81.0       2.1
          85.0       1.6
          86.0       1.1
          87.0       1.5
          88.0       1.1
          89.0       1.4
          90.0       1.8
          91.0      11.3
          92.0       1.1
          94.0       1.6
          95.0       6.4
          96.0       2.0
          98.0       2.3
          99.0       4.1
         100.0       1.6
         101.0       7.7
         102.0      16.8
         103.0       5.7
         107.0       1.4
         109.0       2.8
         114.0       1.1
         118.0       1.5
         119.0      10.1
         120.0       6.7
         121.0       1.8
         125.0       5.5
         126.0       2.2
         127.0       5.0
         131.0       1.0
         133.0       1.0
         139.0       1.1
         140.0       4.0
         143.0       1.1
         144.0       1.0
         145.0      10.7
         146.0       2.8
         147.0      19.6
         148.0       2.2
         149.0       1.6
         150.0       1.3
         151.0      59.1
         152.0       7.1
         159.0      12.0
         160.0       1.8
         167.0       3.2
         168.0       5.6
         169.0       9.4
         170.0      22.3
         171.0      39.2
         172.0       5.2
         173.0       3.2
         175.0       4.3
         179.0       1.2
         187.0       2.1
         188.0       8.4
         189.0       1.0
         195.0       1.9
         196.0       1.3
         197.0      17.5
         198.0      10.6
         199.0      39.3
         200.0       4.6
         215.0      73.4
         216.0     100.0
         217.0      11.5
         218.0       1.1
    

400 MHz in DMSO-d6


  • 1H NMR 399.65 MHz
    C10 H7 F3 O2 0.036 g : 0.5 ml DMSO-d6
    trans-3-(trifluoromethyl)cinnamic acid
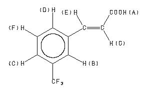
    ChemicalStructure
        Assign.     Shift(ppm)
    A 12. B 8.088 C 8.040 D 7.765 E 7.713 F 7.667 G 6.744 J(E,G)=16.1HZ

         Hz     ppm     Int.
    

       3232.18   8.088    870
       3224.85   8.070     50
       3217.29   8.051    478
       3209.47   8.031    535
       3108.15   7.778    396
       3100.34   7.758    589
       3090.82   7.734    832
       3074.71   7.694    900
       3071.29   7.685    475
       3063.23   7.665    666
       3055.66   7.646    279
       2703.13   6.764   1000
       2687.01   6.724    913
    

DMSO-d6



KBr disc



nujol mull