图谱信息 供应商 相关产品
网站主页CAS数据库列表 67808-64-4更多图谱5-醛基噻吩-2-甲酸甲酯(67808-64-4)红外图谱(IR1)

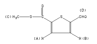
5-醛基噻吩-2-甲酸甲酯

产品名称 5-醛基噻吩-2-甲酸甲酯

CAS号67808-64-4

分子式C7H6O3S

分子量170.19

展开



  •     Parameter     ppm  Hz
    D(A) 7.98 D(B) 7.86 J(A,B) 3.90 D(C) 3.91 D(D) 10.04 GRONOWITZ,S. ET AL. ARK.KEMI. 21, 265 (1963)
    Spectral Code: 1H NMR : parameter in acetone


  • Spectral Code: IR : KBr disc