
顺式-3-己烯醇 2-甲基-2-丁烯酸酯
产品名称
顺式-3-己烯醇 2-甲基-2-丁烯酸酯
CAS号67883-79-8
分子式C11H18O2
分子量182.26
InChIInChI=1S/C11H18O2/c1-4-6-7-8-9-13-11(12)10(3)5-2/h5-7H,4,8-9H2,1-3H3/b7-6-,10-5+
InChIKeyJNWQKXUWZWKUAY-JQEGGOPCSA-N
SmilesC(OCC/C=C\CC)(=O)/C(/C)=C/C
展开
收起
-
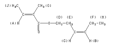
Assign. Shift(ppm)
A 6.84
B 5.49
C 5.36
D 4.123
E 2.41
F 2.06
G 1.82
J 1.80
K 0.97
Spectral Code: 1H NMR : 90 MHz in CDCl3
-
ppm Int. Assign.
168.07 282 1
136.92 812 2
134.41 713 3
128.85 465 4
124.07 772 5
63.99 738 6
26.97 653 7
20.68 718 8
14.27 1000 9
10
12.01 500 11
Spectral Code: 13C NMR : in CDCl3
-
Spectral Code: IR : liquid film
-
Spectral Code: Raman : 4880 A,200 M,liquid
顺式-3-己烯醇 2-甲基-2-丁烯酸酯(67883-79-8)红外图谱(IR1) 相关产品图谱