图谱信息 供应商 相关产品
网站主页CAS数据库列表 68133-75-5更多图谱顺-3-己烯基肉桂酸酯(68133-75-5)Raman光谱

顺-3-己烯基肉桂酸酯

产品名称 顺-3-己烯基肉桂酸酯

CAS号68133-75-5

分子式C15H18O2

分子量230.3

展开



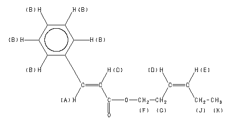
  •     Assign.     Shift(ppm)
    A 7.67 B 7.64 to 7.26 C 6.437 D *1 5.52 E *1 5.38 F 4.203 G 2.45 J 2.09 K 0.99
    Spectral Code: 1H NMR : 90 MHz in CDCl3



  •        ppm   Int.  Assign.
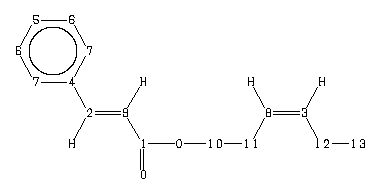
    166.87 355 1 144.67 445 2 134.58 505 3 134.51 365 4 130.21 415 5 128.86 950 6 * 128.05 1000 7 * 123.82 485 8 118.23 425 9 64.04 375 10 26.90 350 11 20.66 385 12 14.26 290 13
    Spectral Code: 13C NMR : in CDCl3


  • Spectral Code: IR : liquid film


  • Spectral Code: Raman : 4880 A,100M,liquid