产品名称 4-硝基苯基磷酸双[三(羟甲基)甲胺]盐水合物[磷酸酶用培养基]
CAS号68189-42-4
分子式C14H28N3O12P
分子量461.36
InChIInChI=1S/C6H6NO6P.2C4H11NO3/c8-7(9)5-1-3-6(4-2-5)13-14(10,11)12;2*5-4(1-6,2-7)3-8/h1-4H,(H2,10,11,12);2*6-8H,1-3,5H2
InChIKeyXXAXKCWOTRABOW-UHFFFAOYSA-N
SmilesC(N)(CO)(CO)CO.C(N)(CO)(CO)CO.P(=O)(O)(O)OC1=CC=C([N+]([O-])=O)C=C1
展开 收起
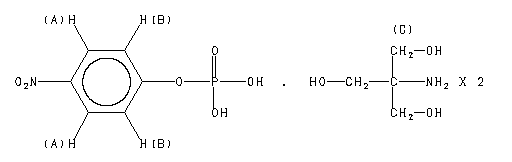
Assign. Shift(ppm) A 8.240 B 7.341 C 3.725
ppm Int. Assign. 161.15 89 1 P-31 160.91 89 1 P-31 142.72 144 2 126.55 452 3 120.93 213 4 P-31 120.72 203 4 P-31 62.16 437 5 60.25 1000 6
更多供应商
4-硝基苯基磷酸双[三(羟甲基)甲胺]盐水合物[磷酸酶用培养基](68189-42-4)红外图谱(IR1) 相关产品图谱