parameter in O(CH2CH2OCH3)2 at 121 C
in CDCl3
-
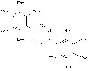
1H NMR 300 MHz C14 H10 N4 0.89 M in diglyme at 121C 3,6-diphenyl-1,2,4,5-tetrazine 
Parameter ppm Hz
D(A) 8.562 D(B) 7.550 D(C) 7.567 J(A,A') 1.94 J(A,B) 7.91 J(A,B') 0.62 J(A,C) 1.19 J(A',B) 0.62 J(A',B') 7.91 J(A',C) 1.19 J(B,B') 1.40 J(B,C) 7.53 J(B',C) 7.53 GUENTHER,H. & CASTELLANO,S. BER.BUNSENGES.PHYSIK.CHEM. 70, 913 (1966)
Hz ppm Int.2579.59 8.599 16 2578.63 8.595 21 2576.96 8.590 46 2573.53 8.578 445 2571.53 8.572 478 2569.97 8.567 143 2568.38 8.561 389 2566.83 8.556 348 2565.97 8.553 265 2564.60 8.549 278 2563.78 8.546 477 2561.59 8.539 86 2558.44 8.528 26 2557.14 8.524 10 2280.38 7.601 15 2278.45 7.595 24 2274.28 7.581 89 2273.18 7.577 111 2272.57 7.575 137 2269.91 7.566 1000 2268.02 7.560 870 2264.79 7.549 532 2263.69 7.546 327 2262.88 7.543 493 2260.02 7.533 94 2258.47 7.528 140 2255.27 7.518 34 2254.16 7.514 37 2253.40 7.511 44
更多供应商







