图谱信息 供应商 相关产品
网站主页CAS数据库列表 6836-19-7更多图谱7-甲氧基-1-萘满酮(6836-19-7)红外图谱(IR1)

7-甲氧基-1-萘满酮

产品名称 7-甲氧基-1-萘满酮

CAS号6836-19-7

分子式C11H12O2

分子量176.21


  • Mass

    MS-NW-8848          
    7-methoxy-3,4-dihydro-1(2H)-naphthalenone
    C11H12O2            (Mass of molecular ion:    176)
    

       Source Temperature: 260 °C
       Sample Temperature: 140 °C
       Reservoir, 75 eV
    

          18.0       1.0
          27.0       1.5
          39.0       3.2
          41.0       1.1
          50.0       1.9
          51.0       8.8
          52.0       1.4
          53.0       1.1
          55.0       1.8
          62.0       1.2
          63.0       4.8
          64.0       1.3
          65.0       2.6
          74.0       1.1
          75.0       1.0
          76.0       1.8
          77.0      13.3
          78.0       3.7
          79.0       2.0
          89.0       5.2
          90.0       4.6
          91.0      11.9
          92.0       1.7
         102.0       1.7
         103.0       4.6
         104.0       2.2
         105.0       5.7
         115.0       5.5
         116.0       1.8
         117.0       4.1
         118.0       1.1
         119.0       2.4
         120.0      71.7
         121.0       8.9
         131.0       2.4
         132.0       1.3
         133.0       3.6
         134.0      20.1
         135.0       2.8
         144.0       1.1
         145.0       3.1
         146.0       2.0
         147.0      13.1
         148.0      36.5
         149.0       3.8
         158.0       2.0
         159.0       2.4
         160.0       1.0
         161.0      10.3
         162.0       1.2
         175.0       7.1
         176.0     100.0
         177.0      12.4
         178.0       1.1
    

90 MHz in CDCl3


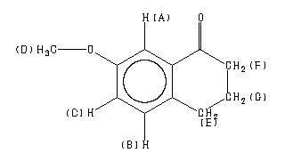
  • 1H NMR 89.56 MHz
    C11 H12 O2 0.050 g : 0.5 ml CDCl3
    7-methoxy-3,4-dihydro-1(2H)-naphthalenone
    ChemicalStructure
        Assign.     Shift(ppm)
    A 7.507 B 7.14 C 7.053 D 3.821 E 2.89 F 2.62 G 2.11 J(A,B)=0.6HZ J(A,C)=2.6HZ J(B,C)=8.4HZ

         Hz     ppm     Int.
    

        673.63   7.522    106
        671.06   7.493    110
        646.44   7.218     37
        645.88   7.212     33
        645.75   7.211     33
        638.06   7.125    166
        637.44   7.118    143
        634.50   7.085    166
        631.94   7.057    129
        626.06   6.991     35
        623.50   6.962     35
        342.25   3.822   1000
        265.06   2.960     75
        259.13   2.894    133
        253.06   2.826     98
        242.19   2.705     62
        241.81   2.700     65
        235.94   2.635    132
        234.56   2.620     87
        229.25   2.560    124
        200.13   2.235     40
        199.56   2.229     39
        195.25   2.181     59
        193.63   2.163     94
        190.13   2.123     41
        187.69   2.096     99
        186.75   2.086     71
        182.69   2.040     40
        181.94   2.032     55
        181.13   2.023     50
    

in CDCl3



KBr disc



nujol mull