400 MHz in D2O
-
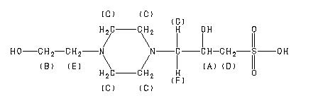
1H NMR 399.65 MHz C9 H20 N2 O5 S 0.040 g : 0.5 ml CDCl3 beta-hydroxy-4-(2-hydroxyethyl)-1-piperazinepropanesulfonic acid 
Assign. Shift(ppm)
A 4.363 B 3.883 C 3.3 D 3.15 E 3.101 F *1 2.88 G *1 2.83 SOLVENT PEAK REMOVED
Hz ppm Int.1740.23 4.355 135 1557.74 3.898 396 1552.49 3.885 495 1547.00 3.871 409 1307.01 3.271 181 1265.14 3.166 296 1259.16 3.151 471 1253.91 3.138 374 1244.63 3.115 635 1239.62 3.102 1000 1233.15 3.086 586 1225.34 3.067 206 1218.75 3.050 207 1152.22 2.884 173 1151.73 2.882 169 1150.39 2.879 168 1149.29 2.876 172 1146.61 2.870 129 1143.19 2.861 172 1134.16 2.838 147
更多供应商




