图谱信息 供应商 相关产品
网站主页CAS数据库列表 6843-49-8更多图谱5-甲基-5-苯基乙内酰脲(6843-49-8)质谱(MS)

5-甲基-5-苯基乙内酰脲

产品名称 5-甲基-5-苯基乙内酰脲

CAS号6843-49-8

分子式C10H10N2O2

分子量190.2

展开


  • Mass

    MS-NW-7237          
    5-methyl-5-phenyl-2,4-imidazolidinedione
    C10H10N2O2          (Mass of molecular ion:    190)
    

       Source Temperature: 190 °C
       Sample Temperature: 150 °C
       Direct, 75 eV
    

          15.0       1.4
          18.0       4.0
          27.0       2.0
          28.0       1.4
          38.0       1.2
          39.0       4.5
          41.0       2.6
          42.0      16.4
          43.0       1.4
          44.0       1.4
          50.0       6.9
          51.0      18.1
          52.0       8.5
          58.5       1.4
          62.0       1.2
          63.0       2.9
          65.0       1.9
          70.0       3.0
          74.0       2.3
          75.0       2.1
          76.0       4.4
          77.0      28.3
          78.0      10.9
          89.0       1.2
          91.0       3.0
          92.0       1.6
         102.0       1.8
         103.0       7.9
         104.0     100.0
         105.0       9.2
         113.0       1.2
         118.0       2.7
         119.0      39.3
         120.0       3.9
         132.0       6.2
         146.0       5.3
         147.0       7.9
         161.0      11.9
         162.0       5.7
         175.0      77.6
         176.0       8.3
         190.0      22.8
         191.0       3.0
    

90 MHz in DMSO-d6


  • 1H NMR 89.56 MHz
    C10 H10 N2 O2 0.039 g : 0.5 ml DMSO-d6
    5-methyl-5-phenyl-2,4-imidazolidinedione
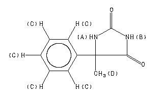
    ChemicalStructure
        Assign.     Shift(ppm)
    A *1 10.7 B *1 8.59 C 7.56 to 7.280 D 1.658

         Hz     ppm     Int.
    

        961.39  10.735     46
        769.13   8.588    137
        677.36   7.564     36
        675.22   7.540     49
        673.85   7.525     71
        673.25   7.518     66
        672.06   7.505    127
        671.12   7.494    130
        669.84   7.480    118
        668.64   7.466    273
        668.04   7.460    203
        666.76   7.445    430
        665.14   7.427    201
        664.45   7.420    268
        663.51   7.409    388
        662.74   7.400    385
        660.78   7.379    228
        658.81   7.357    169
        657.53   7.342    253
        655.05   7.315    179
        653.69   7.299     67
        653.17   7.294     72
        652.15   7.282     56
        148.60   1.660   1000
    

DMSO-d6



KBr disc



nujol mull