图谱信息 供应商 相关产品
网站主页CAS数据库列表 6850-22-2更多图谱2-甲基-6-硝基-2H-吲唑(6850-22-2)核磁图(1HNMR)

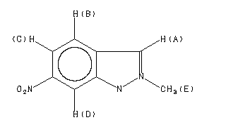
2-甲基-6-硝基-2H-吲唑

产品名称 2-甲基-6-硝基-2H-吲唑

CAS号6850-22-2

分子式C8H7N3O2

分子量177.16

展开



  •     Parameter     ppm  Hz
    D(A) 8.04 D(B) 7.75 D(C) 7.90 D(D) 8.67 D(E) 4.30 J(A,B) 0.0 J(A,C) 0.0 J(A,D) 0.0 J(A,E) 0.5 J(B,C) 9.0 J(B,D) 1.0 J(B,E) 0.0 J(C,D) 1.8 J(C,E) 0.0 J(D,E) 0.0 ELGUERO,J. ET AL. BULL.SOC.CHIM.FR. 1966, 2075
    Spectral Code: 1H NMR : parameter in CDCl3