图谱信息 供应商 相关产品
网站主页CAS数据库列表 6850-57-3更多图谱邻甲氧基苄胺(6850-57-3)红外图谱(IR1)

邻甲氧基苄胺

产品名称 邻甲氧基苄胺

CAS号6850-57-3

分子式C8H11NO

分子量137.18

展开


  • Mass

    MS-NW-5469          
    o-methoxybenzylamine
    C8H11NO             (Mass of molecular ion:    137)
    

       Source Temperature: 260 °C
       Sample Temperature: 190 °C
       Reservoir, 75 eV
    

          15.0       2.9
          18.0       1.8
          27.0       3.1
          28.0      18.0
          29.0       2.8
          30.0      38.9
          37.0       1.3
          38.0       3.5
          39.0      11.6
          40.0       2.0
          41.0       3.6
          42.0       1.5
          50.0       6.1
          51.0      14.9
          52.0       5.3
          53.0       2.1
          54.0       1.8
          55.0       1.0
          61.0       1.0
          62.0       2.2
          63.0       6.5
          64.0       3.5
          65.0      15.6
          66.0       8.4
          67.0       3.8
          74.0       1.9
          75.0       1.8
          76.0       3.2
          77.0      25.4
          78.0      16.7
          79.0      11.0
          80.0       1.3
          89.0       3.4
          90.0       4.1
          91.0      41.1
          92.0       7.7
          93.0      10.9
          94.0      10.3
          95.0       7.9
         102.0       1.7
         103.0       1.3
         104.0      24.7
         105.0      12.1
         106.0      49.2
         107.0      16.1
         108.0      15.9
         109.0      11.7
         110.0       1.0
         119.0      13.2
         120.0      29.1
         121.0      43.3
         122.0      17.3
         123.0       1.5
         133.0       1.3
         134.0       4.4
         136.0     100.0
         137.0      73.6
         138.0       6.9
    

90 MHz in CDCl3


  • 1H NMR 89.56 MHz
    C8 H11 N O 0.04 ml : 0.5 ml CDCl3
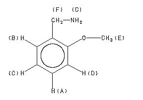
    o-methoxybenzylamine
    ChemicalStructure
        Assign.     Shift(ppm)
    A 7.22 B 7.19 C 6.90 D 6.86 E 3.826 F 3.81 G 1.54

         Hz     ppm     Int.
    

        653.81   7.301     26
        649.81   7.256     55
        647.88   7.235     93
        646.25   7.216     43
        643.31   7.184     44
        641.25   7.161     93
        640.75   7.155     79
        639.81   7.144     95
        625.31   6.983     48
        623.94   6.967     79
        617.94   6.900    114
        616.63   6.886    101
        610.63   6.819     35
        609.31   6.804     65
        607.81   6.787     32
        344.44   3.846     27
        342.69   3.827   1000
        340.88   3.807    394
        138.19   1.543    615
    

in CDCl3



liquid film