图谱信息 供应商 相关产品
网站主页CAS数据库列表 68555-63-5更多图谱丙酸麦芽酚酯(68555-63-5)红外图谱(IR1)

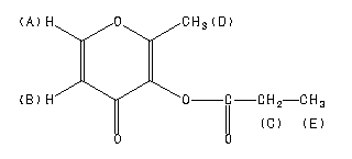
丙酸麦芽酚酯

产品名称 丙酸麦芽酚酯

CAS号68555-63-5

分子式C9H10O4

分子量182.17

展开



  •     Assign.     Shift(ppm)
    A 7.68 B 6.39 C 2.64 D 2.250 E 1.27
    Spectral Code: 1H NMR : 90 MHz in CDCl3


  • Spectral Code: IR : liquid film