图谱信息 供应商 相关产品
网站主页CAS数据库列表 68858-20-8更多图谱Fmoc-L-缬氨酸(68858-20-8)红外图谱(IR1)

Fmoc-L-缬氨酸

产品名称 Fmoc-L-缬氨酸

CAS号68858-20-8

分子式C20H21NO4

分子量339.39

展开


  • Mass

    MS-IW-2652          
    N-((9-fluorenyl)methoxycarbonyl)-L-valine
    C20H21NO4           (Mass of molecular ion:    339)
    

       Source Temperature: 170 °C
       Sample Temperature: 150 °C
       Direct, 75 eV
    

          17.0       1.4
          18.0       6.2
          27.0       4.8
          28.0       7.2
          29.0       2.3
          39.0       4.0
          41.0      10.2
          42.0       1.6
          43.0      14.4
          44.0       2.2
          51.0       1.2
          55.0       2.5
          56.0       4.3
          57.0       1.5
          62.0       1.0
          63.0       2.8
          69.5       1.5
          72.0       2.5
          73.0       6.0
          74.0       2.3
          75.0       2.0
          76.0       2.9
          81.5       1.3
          82.0       1.5
          82.5       2.1
          83.0       5.2
          87.0       1.7
          88.0       2.5
          89.0       3.1
          98.0       1.4
         101.0      44.6
         102.0       1.9
         113.0       1.0
         115.0       3.3
         139.0       5.1
         150.0       1.3
         151.0       2.4
         152.0       3.3
         162.0       1.3
         163.0      11.1
         164.0      10.3
         165.0     100.0
         166.0      78.9
         167.0      11.0
         176.0       5.1
         177.0       3.9
         178.0      55.5
         179.0      11.1
         180.0       1.4
         196.0      32.6
         197.0       5.1
    

400 MHz in DMSO-d6


  • 1H NMR 399.65 MHz
    C20 H21 N O4 0.050 g : 0.5 ml DMSO-d6
    N-((9-fluorenyl)methoxycarbonyl)-L-valine
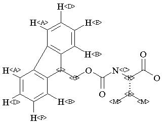
    ChemicalStructure
        Assign.     Shift(ppm)
    A 7.899 B 7.78 C 7.64 D 7.428 E *1 7.35 F *1 7.34 G 4.29 J 4.25 K 3.928 L 2.107 M 0.937 ASSIGNED BY H-H COSY. J(C,K)=8.4HZ J(K,L)=6.0HZ

         Hz     ppm     Int.
    

       3160.89   7.910    364
       3157.35   7.901     70
       3153.44   7.891    402
       3112.67   7.789    185
       3111.21   7.785    190
       3103.76   7.767    211
       3055.54   7.646    155
       3047.00   7.625    155
       2976.93   7.449    167
       2974.24   7.443     46
       2969.48   7.431    377
       2962.04   7.412    237
       2943.97   7.367    138
       2942.87   7.364    163
       2941.41   7.360    138
       2940.31   7.358    141
       2938.23   7.353     89
       2936.52   7.348    225
       2935.42   7.345    251
       2933.96   7.342    212
       2932.98   7.339    206
       2929.08   7.330    115
       2927.98   7.327    117
       2926.51   7.323     97
       2925.54   7.321     91
       1721.68   4.308    108
       1716.43   4.295    157
       1713.87   4.289    214
       1710.57   4.281    273
       1703.00   4.262    196
       1696.53   4.246    107
       1690.06   4.229     47
       1689.45   4.228     48
       1577.27   3.947    104
       1571.29   3.932    121
       1568.60   3.925    122
       1562.62   3.910    112
        852.78   2.134     47
        846.07   2.118     78
        839.48   2.101     82
        836.55   2.094     31
        832.76   2.084     53
        378.05   0.946   1000
        371.22   0.929    982
        361.69   0.906     60
        357.79   0.896     47
        357.42   0.895     45
        354.61   0.888     36
        353.03   0.884     32
        351.93   0.881     30
    

in DMSO-d6



KBr disc



nujol mull