400 MHz in DMSO-d6
-
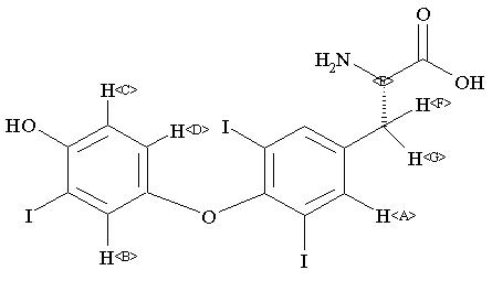
1H NMR 399.65 MHz C15 H12 I3 N O4 0.034 g : 0.5 ml DMSO-d6 O(4)-(4-hydroxy-3-iodophenyl)-3,5-diiodo-L-tyrosine 
Assign. Shift(ppm)
A 7.841 B 7.027 C 6.912 D 6.640 E 3.558 F *1 3.145 G *1 2.883
Hz ppm Int.3134.00 7.842 1000 2810.06 7.032 319 2807.16 7.025 326 2767.33 6.925 229 2758.48 6.903 292 2659.45 6.655 151 2656.40 6.647 139 2650.60 6.633 138 2647.55 6.625 139 1434.63 3.590 33 1428.83 3.576 106 1424.10 3.564 122 1420.59 3.555 128 1415.86 3.543 122 1409.76 3.528 44 1268.31 3.174 68 1264.19 3.164 72 1254.12 3.139 86 1249.85 3.128 74 1163.02 2.911 65 1154.48 2.889 70 1148.38 2.874 64 1140.29 2.854 54
更多供应商




