图谱信息 供应商 相关产品
网站主页CAS数据库列表 68936-13-0更多图谱甲氧红(68936-13-0)核磁图(1HNMR)

甲氧红

产品名称 甲氧红

CAS号68936-13-0

分子式C13H15ClN4O

分子量278.74

展开



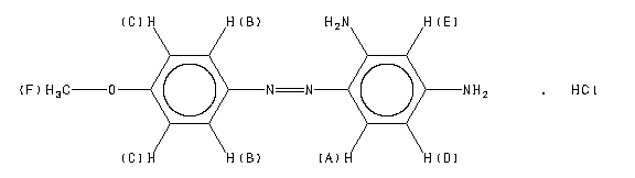
  •     Assign.     Shift(ppm)
    A 8.28 B 7.96 C 6.99 D 6.48 E 5.96 F 3.792
    Spectral Code: 1H NMR : 400 MHz in DMSO-d6



  •        ppm   Int.  Assign.
    159.43 214 1 157.37 619 2 156.70 161 3 136.75 250 4 126.49 446 5 123.39 435 6 118.67 732 7 116.68 250 8 114.42 1000 9 92.56 149 10 55.32 494 11
    Spectral Code: 13C NMR : in DMSO-d6


  • Spectral Code: IR : KBr disc