-
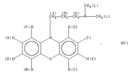
MS2014-05089CW 2-chloro-10-(3-dimethylaminopropyl)phenothiazine hydrochloride C17H19ClN2S HCl (Mass of molecular ion: 318)
Source Temperature: 250 °C Sample Temperature: 20 °C Direct, 70 eV
18.0 1.2 30.0 2.1 36.0 4.9 38.0 1.7 42.0 4.1 43.0 1.5 44.0 3.4 45.0 1.1 56.0 1.2 57.0 1.7 58.0 100.0 59.0 4.7 63.0 1.0 69.0 1.7 70.0 3.4 71.0 2.0 72.0 3.4 84.0 4.0 85.0 15.3 86.0 37.7 87.0 2.2 108.0 1.0 139.0 1.6 151.0 1.1 152.0 2.4 153.0 2.0 164.0 1.4 166.0 1.1 178.0 1.4 179.0 1.3 184.0 1.1 188.0 1.9 196.0 4.4 197.0 4.4 198.0 3.0 200.0 1.8 201.0 1.3 204.0 1.0 210.0 1.8 211.0 2.2 212.0 2.4 213.0 1.9 214.0 9.2 215.0 2.0 216.0 3.0 223.0 2.0 224.0 1.1 225.0 1.8 232.0 14.3 233.0 15.5 234.0 7.2 235.0 5.7 236.0 1.4 237.0 1.5 238.0 2.4 239.0 1.1 244.0 1.4 245.0 1.0 246.0 8.5 247.0 7.3 248.0 3.9 249.0 2.6 258.0 1.6 259.0 1.8 260.0 2.1 272.0 32.5 273.0 14.9 274.0 14.1 275.0 5.6 276.0 1.4 318.0 75.3 319.0 14.8 320.0 28.2 321.0 5.4 322.0 1.6
400 MHz in CDCl3
-
1H NMR 399.65 MHz C17 H19 Cl N2 S 0.036 g : 0.5 ml CDCl3 2-chloro-10-(3-dimethylaminopropyl)phenothiazine hydrochloride 
Assign. Shift(ppm)
A 7.221 B 7.178 C 7.074 D 6.996 E 6.943 F 6.94 G 6.877 J 4.051 K 3.125 L 2.679 M 2.346 J(A,B)=1.6HZ J(A,D)=7.5HZ J(A,F)=8.2HZ J(B,D)=7.7HZ J(B,F)=0.4HZ J(C,E)=8.2HZ J(D,F)=1.2HZ J(E,G)=2.1HZ
Hz ppm Int.2895.02 7.244 31 2893.43 7.240 38 2887.57 7.226 46 2886.84 7.224 48 2886.11 7.222 54 2885.38 7.220 54 2879.52 7.206 44 2877.93 7.202 53 2873.54 7.191 62 2872.31 7.188 58 2865.84 7.171 79 2864.62 7.168 65 2831.91 7.086 128 2823.73 7.066 172 2803.71 7.016 45 2802.49 7.013 54 2796.26 6.997 63 2796.02 6.997 63 2795.04 6.994 68 2788.57 6.978 39 2787.35 6.975 38 2779.66 6.956 108 2777.59 6.951 152 2776.12 6.947 64 2771.48 6.935 80 2769.41 6.930 130 2768.07 6.927 56 2749.51 6.880 111 2747.44 6.875 98 1625.12 4.067 54 1619.02 4.052 99 1612.92 4.036 56 1257.20 3.146 56 1251.22 3.131 39 1249.39 3.127 53 1246.95 3.121 37 1241.33 3.107 62 1070.92 2.680 1000 944.82 2.365 32 939.45 2.351 35 937.01 2.345 38 934.94 2.340 37 929.08 2.325 30
更多供应商






