图谱信息 供应商 相关产品
网站主页CAS数据库列表 69-74-9更多图谱盐酸阿糖胞苷(69-74-9)红外图谱(IR1)

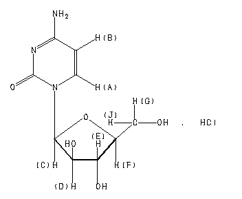
盐酸阿糖胞苷

产品名称 盐酸阿糖胞苷

CAS号69-74-9

分子式C9H14ClN3O5

分子量279.68

展开



  •     Assign.     Shift(ppm)
    A 8.074 B 6.237 C 6.196 D 4.437 E 4.131 F 4.037 G *1 3.917 J *1 3.840 SOLVENT PEAK SUPPRESSED
    Spectral Code: 1H NMR : 400 MHz in D2O



  •        ppm   Int.  Assign.
    159.62 359 1 148.56 339 2 146.04 855 3 94.71 874 4 86.64 936 5 84.31 947 6 75.83 1000 7 * 75.42 883 8 * 61.08 866 9
    Spectral Code: 13C NMR : in D2O


  • Spectral Code: IR : KBr disc