产品名称 卡巴克络
CAS号69-81-8
分子式C10H12N4O3
分子量236.23
InChIInChI=1S/C10H12N4O3/c1-14-4-9(16)5-2-6(12-13-10(11)17)8(15)3-7(5)14/h2-3,9,16H,4H2,1H3,(H3,11,13,17)
InChIKeyXSXCZNVKFKNLPR-UHFFFAOYSA-N
SmilesN(C(N)=O)N=C1C(=O)C=C2C(=C1)C(O)CN2C
展开 收起
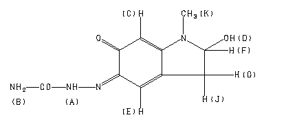
Assign. Shift(ppm) A 14.74 B 7.08 C *1 6.729 D 5.80 E *1 5.374 F 4.966 G *2 3.923 J *2 3.439 K 2.992 J(D,F)=4.9HZ
更多供应商
卡巴克络(69-81-8)核磁图(1HNMR) 相关产品图谱