4-(DIETHYLAMINOMETHYL)-2,5-DIMETHYLPHENOL
产品名称 4-(DIETHYLAMINOMETHYL)-2,5-DIMETHYLPHENOL
CAS号69286-57-3
分子式C13H21NO
分子量207.31
-
MS-IW-0712 4-diethylaminomethyl-2,5-dimethylphenol C13H21NO (Mass of molecular ion: 207)
Source Temperature: 140 °C Sample Temperature: 110 °C Direct, 75 eV
27.0 2.7 28.0 3.5 29.0 3.5 30.0 18.2 39.0 4.5 40.0 1.3 41.0 1.9 42.0 2.8 44.0 8.3 51.0 2.5 52.0 1.3 53.0 1.1 56.0 3.0 57.0 1.2 58.0 65.8 59.0 2.5 63.0 1.4 65.0 3.8 66.0 2.0 72.0 21.2 73.0 14.8 74.0 21.4 75.0 1.1 77.0 3.8 78.0 1.7 79.0 3.8 86.0 7.8 91.0 27.1 92.0 2.6 96.0 1.0 103.0 1.5 105.0 6.4 106.0 6.8 107.0 1.5 115.0 1.4 119.0 2.2 121.0 2.7 133.0 3.3 134.0 85.6 135.0 100.0 136.0 12.9 137.0 1.0 192.0 13.1 193.0 1.8 206.0 3.0 207.0 44.6 208.0 7.1
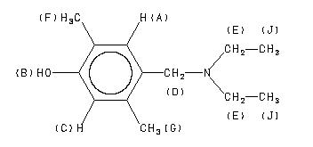
400 MHz in CDCl3
-
1H NMR 399.65 MHz C13 H21 N O 0.040 g : 0.5 ml CDCl3 4-diethylaminomethyl-2,5-dimethylphenol 
Assign. Shift(ppm)
A 6.901 B 6.87 C 6.022 D 3.380 E 2.619 F 2.162 G 2.103 J 1.101
Hz ppm Int.2758.30 6.902 252 2406.62 6.022 247 1350.95 3.381 528 1057.86 2.647 132 1050.66 2.629 433 1043.46 2.611 447 1036.38 2.594 151 864.14 2.163 761 840.58 2.104 749 447.14 1.119 499 439.94 1.101 1000 432.74 1.083 478
更多供应商
4-(DIETHYLAMINOMETHYL)-2,5-DIMETHYLPHENOL(69286-57-3)质谱(MS) 相关产品图谱
4-(DIETHYLAMINOMETHYL)-2,5-DIMETHYLPHENOL(69286-57-3)红外图谱(IR1)
4-(DIETHYLAMINOMETHYL)-2,5-DIMETHYLPHENOL(69286-57-3)核磁图(13CNMR)
4-(DIETHYLAMINOMETHYL)-2,5-DIMETHYLPHENOL(69286-57-3)质谱(MS)
4-(DIETHYLAMINOMETHYL)-2,5-DIMETHYLPHENOL(69286-57-3)红外图谱(IR2)
4-(DIETHYLAMINOMETHYL)-2,5-DIMETHYLPHENOL(69286-57-3)核磁图(1HNMR)





