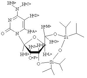
(+)-3',5'-O-(1,1,3,3-四异丙基-1,3-二硅氧烷)胞苷
产品名称 (+)-3',5'-O-(1,1,3,3-四异丙基-1,3-二硅氧烷)胞苷
CAS号69304-42-3
分子式C21H39N3O6Si2
分子量485.72
-
MS-KW-0211 (+)-3',5'-O-(1,1,3,3-tetraisopropyl-1,3-disiloxanediyl)cytidine C21H39N3O6Si2 (Mass of molecular ion: 485)
Source Temperature: 230 °C Sample Temperature: 230 °C Direct, 75 eV
17.0 1.7 18.0 9.4 26.0 2.9 27.0 7.1 28.0 10.7 29.0 2.4 38.0 1.7 39.0 6.7 40.0 4.2 41.0 14.4 42.0 8.1 43.0 8.3 44.0 1.8 45.0 1.0 51.0 1.0 52.0 1.2 53.0 1.7 54.0 1.1 55.0 3.9 57.0 1.0 59.0 1.3 61.0 2.2 66.0 1.8 67.0 3.3 68.0 4.3 69.0 6.6 70.0 1.4 71.0 1.6 73.0 1.0 75.0 3.0 77.0 2.1 79.0 2.3 80.0 1.1 81.0 9.3 82.0 1.2 83.0 1.7 85.0 1.3 87.0 1.7 88.0 1.2 89.0 1.8 91.0 1.4 93.0 1.5 94.0 2.3 95.0 4.7 96.0 2.7 97.0 6.6 101.0 2.2 102.0 1.5 103.0 5.3 104.0 1.1 105.0 8.9 106.0 1.4 107.0 2.6 108.0 1.7 108.5 1.9 109.0 1.7 111.0 7.0 112.0 100.0 113.0 6.3 114.5 1.1 115.0 2.3 117.0 1.2 119.0 12.7 120.0 2.3 121.0 9.1 122.0 2.8 123.0 2.9 124.0 1.3 129.0 1.0 131.0 2.7 133.0 6.0 134.0 1.8 135.0 16.8 136.0 4.0 137.0 6.6 138.0 1.4 139.0 1.2 140.0 9.1 141.0 1.2 143.0 1.6 145.0 3.3 146.0 1.1 147.0 11.8 148.0 2.7 149.0 4.0 151.0 4.5 152.0 1.1 153.0 1.0 154.0 1.5 159.0 7.0 160.0 1.8 161.0 8.4 162.0 2.4 163.0 8.2 164.0 1.8 165.0 3.2 166.0 1.2 170.0 3.3 171.0 1.5 173.0 2.4 175.0 11.9 176.0 2.4 177.0 3.1 178.0 5.1 179.0 2.4 185.0 6.9 186.0 1.4 187.0 2.7 189.0 7.6 190.0 4.9 191.0 7.4 192.0 1.5 193.0 1.9 198.0 2.9 201.0 1.5 203.0 5.1 204.0 1.2 205.0 2.7 207.0 3.4 208.0 1.0 209.0 1.3 215.0 1.7 217.0 8.8 218.0 1.9 219.0 6.2 220.0 1.2 224.0 3.7 229.0 1.6 231.0 8.6 232.0 2.0 233.0 4.6 234.0 1.1 235.0 10.4 236.0 2.3 237.0 1.3 243.0 1.9 245.0 1.7 247.0 3.8 257.0 2.1 259.0 16.5 260.0 4.0 261.0 6.1 262.0 1.3 263.0 2.1 271.0 1.5 273.0 5.6 274.0 1.3 284.0 1.4 285.0 4.0 286.0 1.4 287.0 4.8 288.0 1.3 289.0 4.8 290.0 1.1 301.0 2.8 302.0 1.8 303.0 7.3 304.0 1.9 313.0 5.7 314.0 1.7 315.0 2.6 326.0 1.1 328.0 22.7 329.0 6.1 330.0 2.7 331.0 13.2 332.0 3.4 333.0 1.5 346.0 7.2 347.0 2.0 354.0 1.2 356.0 1.1 357.0 2.1 370.0 3.0 424.0 2.3 442.0 19.0 443.0 6.1 444.0 2.3 485.0 1.1
400 MHz in DMSO-d6
-
1H NMR 399.65 MHz C21 H39 N3 O6 Si2 0.033 g : 0.5 ml DMSO-d6 (+)-3',5'-O-(1,1,3,3-tetraisopropyl-1,3-disiloxanediyl)cytidine 
Assign. Shift(ppm)
A 7.721 B *1 7.20 C *1 7.15 D 5.685 E 5.629 F 5.57 G *2 4.161 J 4.084 K 4.019 L 3.95 M *2 3.92 THE ISOPROPYL SIGNALS NOT ASSIGNED. J(A,D) = 7.4 HZ. J(E,J) = 4.5 HZ.
Hz ppm Int.3089.60 7.731 162 3082.15 7.713 173 2878.42 7.203 58 2855.47 7.145 56 2275.88 5.695 161 2268.55 5.677 163 2251.83 5.635 163 2247.31 5.624 161 2224.12 5.566 326 1670.78 4.181 70 1670.29 4.180 71 1657.23 4.147 91 1640.38 4.105 55 1635.99 4.094 60 1631.23 4.082 92 1626.95 4.071 110 1609.62 4.028 113 1600.59 4.005 63 1581.18 3.957 77 1576.78 3.946 130 1574.58 3.940 68 1572.39 3.935 138 1570.19 3.929 97 1558.96 3.901 75 1556.76 3.896 64 440.80 1.103 40 439.70 1.101 44 427.61 1.070 1000 423.95 1.061 862 420.17 1.052 773 416.63 1.043 627 409.55 1.025 354 407.23 1.019 439 403.08 1.009 687 400.88 1.004 666 396.97 0.994 183 390.99 0.979 493 388.43 0.972 831 382.20 0.957 180 378.78 0.948 83 377.56 0.945 111 374.88 0.939 81 371.95 0.931 49 370.24 0.927 51 367.92 0.921 42
更多供应商



