-
MS-NW-7014 2-(benzylamino)pyridine C12H12N2 (Mass of molecular ion: 184)
Source Temperature: 160 °C Sample Temperature: 110 °C Direct, 75 eV
17.0 1.2 18.0 4.6 27.0 2.4 28.0 5.1 38.0 2.0 39.0 9.4 40.0 1.5 41.0 2.1 50.0 2.9 51.0 11.5 52.0 8.9 53.0 2.4 62.0 1.0 63.0 3.9 64.0 1.7 65.0 15.5 66.0 2.0 67.0 1.8 76.0 1.2 77.0 5.2 78.0 24.5 79.0 32.9 80.0 8.2 89.0 3.9 90.0 1.7 91.0 42.8 92.0 5.5 104.0 2.4 105.0 3.7 106.0 89.0 107.0 20.4 108.0 1.3 127.0 1.2 128.0 1.2 154.0 2.7 155.0 1.5 156.0 2.7 166.0 1.1 167.0 1.9 168.0 3.1 169.0 1.0 181.0 4.1 182.0 2.7 183.0 41.0 184.0 100.0 185.0 13.9 186.0 1.1
400 MHz in CDCl3
-
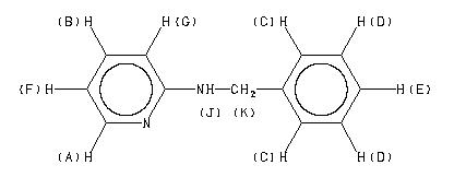
1H NMR 399.65 MHz C12 H12 N2 0.041 g : 0.5 ml CDCl3 2-(benzylamino)pyridine 
Assign. Shift(ppm)
A 8.064 B 7.36 C 7.34 D 7.31 E 7.251 F 6.555 G 6.341 J 5.12 K 4.480
Hz ppm Int.3226.81 8.075 221 3225.95 8.072 248 3224.85 8.070 258 3224.00 8.068 243 3221.68 8.062 236 3220.83 8.060 259 3219.85 8.057 260 3218.99 8.055 240 2952.27 7.388 198 2950.32 7.383 195 2945.07 7.370 244 2943.85 7.367 312 2942.02 7.362 340 2939.70 7.356 281 2937.99 7.352 157 2936.77 7.349 309 2934.81 7.344 457 2933.11 7.340 810 2930.91 7.334 1000 2930.05 7.332 897 2927.86 7.327 199 2926.51 7.323 107 2923.95 7.317 571 2923.10 7.315 849 2921.26 7.310 325 2917.24 7.300 189 2916.02 7.297 247 2915.28 7.295 293 2905.27 7.270 178 2903.44 7.265 254 2902.10 7.262 110 2901.49 7.261 147 2899.41 7.255 122 2896.61 7.248 257 2890.50 7.233 140 2890.01 7.232 136 2626.46 6.572 287 2625.61 6.570 297 2621.46 6.560 295 2620.48 6.557 320 2619.38 6.555 307 2618.41 6.552 302 2615.97 6.546 40 2614.26 6.542 276 2613.40 6.540 284 2539.18 6.354 283 2538.33 6.352 493 2537.35 6.349 294 2530.76 6.333 280 2529.91 6.331 484 2528.93 6.328 289 2046.88 5.122 96 1793.33 4.488 816 1787.48 4.473 791
更多供应商






