-
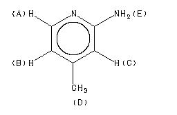
MS-NW-1418 4-methyl-2-pyridylamine C6H8N2 (Mass of molecular ion: 108)
Source Temperature: 260 °C Sample Temperature: 180 °C Reservoir, 75 eV
26.0 1.0 27.0 5.1 28.0 8.3 37.0 1.8 38.0 4.2 39.0 11.2 40.0 3.4 41.0 9.8 42.0 2.7 43.0 3.8 50.0 2.9 51.0 4.2 52.0 4.5 53.0 11.5 54.0 3.0 63.0 1.9 64.0 2.1 65.0 3.8 66.0 6.9 67.0 1.7 68.0 6.4 78.0 1.0 79.0 1.2 80.0 60.0 81.0 29.6 82.0 1.8 91.0 1.4 93.0 3.3 107.0 3.2 108.0 100.0 109.0 7.5
parameter in CDCl3
90 MHz in CDCl3
-
1H NMR 300 MHz C6 H8 N2 20 % in CDCl3 2-amino-4-methylpyridine 
Parameter ppm Hz
D(A) 7.81 D(B) 6.37 D(C) 6.20 D(D) 2.16 J(A,B) 5.2 J(A,C) 0.6 J(A,D) 0.2 J(B,C) 1.5 J(B,D) 0.6 J(C,D) 0.7 D(E) 4.68 BELL,C.L. ET AL. J.HETEROCYCL.CHEM. 2, 420 (1965) J(A,D):LESS THAN 0.2HZ.
Hz ppm Int.2345.69 7.819 160 2340.49 7.802 164 1914.61 6.382 73 1913.98 6.380 87 1913.20 6.377 91 1909.41 6.365 73 1908.78 6.363 86 1907.99 6.360 88 1860.75 6.202 160 1860.01 6.200 177 1859.33 6.198 154 1403.97 4.680 1000 648.02 2.160 903
-
1H NMR 89.56 MHz C6 H8 N2 0.048 g : 0.5 ml CDCl3 4-methyl-2-pyridylamine 
Assign. Shift(ppm)
A 7.916 B 6.452 C 6.291 D 4.6 E 2.195
Hz ppm Int.711.88 7.949 136 711.44 7.944 130 706.56 7.890 147 581.44 6.493 95 580.88 6.486 106 580.00 6.477 124 579.44 6.470 109 576.19 6.434 89 575.63 6.428 99 574.75 6.418 119 574.19 6.412 106 564.88 6.308 136 564.13 6.299 222 563.38 6.291 223 562.63 6.283 195 561.88 6.274 112 410.75 4.587 56 199.56 2.229 35 198.94 2.222 39 196.63 2.196 1000
更多供应商








