图谱信息 供应商 相关产品
网站主页CAS数据库列表 6953-61-3更多图谱1-萘羟肟酸(6953-61-3)红外图谱(IR1)

1-萘羟肟酸

产品名称 1-萘羟肟酸

CAS号6953-61-3

分子式C11H9NO2

分子量187.19

展开


  • Mass

    MS-NW-2498          
    1-naphthalenecarbohydroxamic acid
    C11H9NO2            (Mass of molecular ion:    187)
    

       Source Temperature: 200 °C
       Sample Temperature: 130 °C
       Direct, 75 eV
    

          17.0       3.0
          18.0      15.3
          27.0       1.0
          28.0       2.5
          30.0       2.3
          37.0       1.0
          38.0       1.9
          39.0       4.2
          44.0       2.1
          50.0       5.5
          51.0       6.2
          52.0       1.3
          57.0       1.8
          57.5       1.5
          61.0       1.8
          62.0       4.1
          63.0      11.4
          63.5       5.6
          64.0       2.4
          70.5       4.9
          74.0       5.2
          75.0       6.9
          76.0       4.1
          76.5       1.0
          77.0       8.3
          77.5       2.1
          78.0       1.2
          84.5       4.2
          85.0       1.1
          86.0       2.0
          87.0       3.4
          88.0       3.4
          89.0       1.9
          98.0       1.5
          99.0       1.7
         100.0       1.6
         101.0       5.0
         102.0       1.7
         113.0       5.6
         114.0      15.3
         115.0       7.7
         116.0       1.8
         125.0       1.8
         126.0      14.9
         127.0      72.8
         128.0       9.8
         140.0      25.8
         141.0      29.1
         142.0       4.2
         143.0       6.5
         144.0       1.1
         152.0       1.9
         153.0      33.3
         154.0       5.9
         155.0      91.2
         156.0      11.0
         169.0     100.0
         170.0      16.4
         171.0      16.8
         172.0       7.7
         187.0      10.8
         188.0       1.4
    

400 MHz in DMSO-d6


  • 1H NMR 399.65 MHz
    C11 H9 N O2 0.040 g : 0.5 ml DMSO-d6
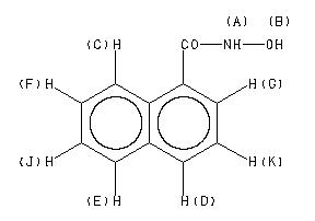
    1-naphthalenecarbohydroxamic acid
    ChemicalStructure
        Assign.     Shift(ppm)
    A *1 11.15 B *1 9.28 C 8.210 D 8.021 E 7.978 F *2 7.59 G 7.57 J *2 7.56 K 7.536

         Hz     ppm     Int.
    

       4454.97  11.148    240
       3709.67   9.283    307
       3289.67   8.232     38
       3285.27   8.221    264
       3283.44   8.216    280
       3275.93   8.197    307
       3209.99   8.033    341
       3202.30   8.013    375
       3197.17   8.000     71
       3193.32   7.991    323
       3190.39   7.983    224
       3186.18   7.973    375
       3183.98   7.967    351
       3179.22   7.956     54
       3042.58   7.614    119
       3040.93   7.609    167
       3038.55   7.604     81
       3035.80   7.597    390
       3033.97   7.592    379
       3031.04   7.585    511
       3028.66   7.579   1000
       3025.91   7.572    469
       3023.53   7.566    937
       3021.88   7.562    903
       3017.67   7.551    680
       3015.10   7.545    197
       3009.79   7.532    614
       3002.83   7.514    272
       2992.02   7.487     33
    

in DMSO-d6



KBr disc